.

Versorgungsordnung

Vom 26. August 2002

KABl. 2002, S. 199, zuletzt geändert durch die sechzehnte Änderung vom 19. Juni 2024,
KABl. 2024, S. 33

Inhaltsverzeichnis1#

Abschnitt I
Abschnitt II
Abschnitt I
Abschnitt II
Abschnitt I
Abschnitt II
Abschnitt III
Abschnitt I
Abschnitt II
Abschnitt III
Sechster Teil Schlussvorschriften
Aufgrund von § 1 Abs. 2 der Rechtsverordnung über die zusätzliche Alters- und Hinterbliebenenversorgung kirchlicher Angestellter, Arbeiter und Arbeiterinnen vom 26. August 2002 (Kirchl. Amtsbl. S. 196) haben wir unter Beteiligung des Verwaltungsrates der Zusatzversorgungskasse der Evangelisch-lutherischen Landeskirche Hannovers die folgende Versorgungsordnung beschlossen:
#

Erster Teil
Organisatorische Verfassung der Kasse

###

§ 1
Zweck und Sitz der Kasse

Die Zusatzversorgungskasse der Evangelisch-lutherischen Landeskirche Hannovers (Kasse) hat die Aufgabe, den Mitarbeitern (Beschäftigten) der ihr angeschlossenen Anstellungsträger (Mitglieder) eine zusätzliche Alters-, Erwerbsminderungs- und Hinterbliebenenversorgung zu gewähren. Im Rahmen der betrieblichen Altersversorgung steht die Kasse den Mitgliedern und den Beschäftigten auch für eine freiwillige Versicherung in Anlehnung an das Punktemodell offen.
#

§ 2
Rechtsverhältnisse der Kasse

( 1 ) Die Kasse wird als rechtlich unselbstständiges Sondervermögen, getrennt von dem sonstigen Vermögen der Evangelisch-lutherischen Landeskirche geführt. Es haftet nur für die im Bereich der Kasse entstehenden Verbindlichkeiten des Rechtsträgers.
( 2 ) Die Angelegenheiten der Kasse werden durch die Versorgungsordnung geregelt.
( 3 ) Die Kasse wird vom Landeskirchenamt gerichtlich und außergerichtlich vertreten.
#

§ 3

[unbesetzt]
#

§ 4
Aufgaben der Geschäftsstelle

( 1 ) Das Landeskirchenamt richtet für die Kasse eine Geschäftsstelle ein. Die durch Beteiligungsvereinbarungen angeschlossenen Mitglieder tragen nach Maßgabe eines festzusetzenden Schlüssels den Personal- und Sachaufwand der Geschäftsstelle mit.
( 2 ) Die Geschäftsstelle ist beauftragt,
  1. die ihr nach dieser Versorgungsordnung zugewiesenen Aufgaben wahrzunehmen,
  2. insbesondere die Pflichtbeiträge, Beiträge zur freiwilligen Versicherung sowie Sanierungsgelder einzuziehen,
  3. die Rechnung über die Kasse zu führen, die Leistungen der Zusatzversorgungskasse zu berechnen und auszuzahlen und
  4. die sich aus den Versicherungsverträgen ergebenden Maßnahmen (§ 3 Abs. 3 und 4, § 4 Satz 3 der Rechtsverordnung) zu treffen.
#

§ 5
Verwaltungsrat

Die allgemeine Aufsicht über die Kasse wird durch einen Verwaltungsrat ausgeübt. Der Verwaltungsrat besteht aus acht Mitgliedern. Zwei Mitglieder beruft das Landeskirchenamt für die Anstellungsträger aus dem Bereich der verfassten Kirche; je zwei weitere Mitglieder beruft das Landeskirchenamt für den Bereich der Anstellungsträger der Diakonie auf Vorschlag des Diakonischen Werkes evangelischer Kirchen in Niedersachsen e.V.; als Vertreter der Mitarbeiter für den Bereich der verfassten Kirche auf Vorschlag der in der Arbeits- und Dienstrechtlichen Kommission vertretenen Vereinigungen der Mitarbeiter sowie für den Bereich der Diakonie auf Vorschlag der Arbeitsgemeinschaft der Mitarbeitervertretungen.
#

§ 6
Aufgaben des Verwaltungsrates

Der Verwaltungsrat wird ermächtigt,
  1. Änderungen und Ergänzungen der Versorgungsordnung zur Anpassung an das Versorgungsrecht anderer Zusatzversorgungseinrichtungen zu beschließen,
  2. Ausführungsbestimmungen zu erlassen,
  3. den Schlüssel für die Verteilung der Verwaltungskosten der Geschäftsstelle festzusetzen,
  4. den Jahresabschluss festzustellen,
  5. die Wirtschaftsprüferin/den Wirtschaftsprüfer zur Prüfung des Jahresabschlusses zu bestellen,
  6. den Verantwortlichen Aktuar zu bestellen,
  7. auf Vorschlag des Verantwortlichen Aktuars den Pflichtbeitragsatz, das Referenzentgelt, den Regelbeitrag, die Alterstabelle, den Messbetrag, das Sanierungsgeld, die Verwendung der Überschüsse sowie die Deckung von Fehlbeträgen zu beschließen.
Im Übrigen hat der Verwaltungsrat die Verwaltung bei der Haushalts- und Rechnungsführung der Kasse zu beraten und auf einheitliche Regelung der Versorgungsstöcke hinzuwirken.
#

§ 7
Aufgaben des Verantwortlichen Aktuars

( 1 ) Der Verantwortliche Aktuar hat jährlich die Finanzlage der Kasse daraufhin zu überprüfen, ob die dauernde Erfüllbarkeit der eingegangenen Verpflichtungen der Kasse gewährleistet ist, und hierüber dem Verwaltungsrat zu berichten. Er hat unter der Bilanz zu bestätigen, dass die Deckungsrückstellungen für die Pflichtversicherung und die freiwillige Versicherung dem versicherungstechnischen Geschäftsplan der Kasse entsprechen.
( 2 ) Sobald er bei der Erfüllung der ihm obliegenden Aufgaben erkennt, dass die Voraussetzungen für die Bestätigung nach Absatz 1 nicht oder nur eingeschränkt vorliegen, hat er die Geschäftsstelle, und wenn diese der Beanstandung nicht unverzüglich abhilft, den Verwaltungsrat zu unterrichten.
( 3 ) Er hat dem Verwaltungsrat Vorschläge für die Verwendung von Überschüssen vorzulegen. Die Überschussermittlung erfolgt auf der Grundlage einer versicherungstechnischen Bilanz, die auf den anerkannten Regeln der Versicherungsmathematik beruht.
( 4 ) Die Geschäftsstelle der Kasse ist verpflichtet, dem Verantwortlichen Aktuar sämtliche Informationen zugänglich zu machen, die zur ordnungsgemäßen Erledigung seiner Aufgaben gemäß Absatz 1 bis 3 erforderlich sind.
#

§ 8

[unbesetzt]
#

§ 9
Geschäftsjahr

Das Geschäftsjahr entspricht dem Kalenderjahr.
#

§ 10

[unbesetzt]
#

Zweiter Teil:
Versicherungsverhältnisse

#

Abschnitt I
Das Mitgliedsverhältnis

##

§ 11
Voraussetzungen der Mitgliedschaft

Als Mitglieder gehören der Kasse an:
  1. die Evangelisch-lutherische Landeskirche Hannovers und ihre Einrichtungen, die Kirchen- und Kapellengemeinden, die Gesamtverbände, die Kirchengemeindeverbände, die Kirchenkreise, die Kirchenkreisverbände, das Kloster Loccum, das Kloster Amelungsborn sowie andere kirchliche Verbände und Einrichtungen, die Körperschaften, Anstalten oder Stiftungen des öffentlichen Rechts sind und der Aufsicht der Landeskirche unterstehen,
  2. das Diakonische Werk evangelischer Kirchen in Niedersachsen e.V. mit den ihm angeschlossenen Einrichtungsträgern, die ihren Sitz im Gebiet der Evangelisch-lutherischen Landeskirche Hannovers haben, soweit sie auf der Grundlage der Beteiligungsvereinbarung zwischen der Evangelisch- lutherischen Landeskirche Hannovers und dem Diakonischen Werk der Landeskirche vom 5. Juni 1968 in ihrer jeweils geltenden Fassung beigetreten sind,
  3. sonstige kirchliche Körperschaften, Verbände, Anstalten, Stiftungen und Einrichtungen, deren Mitgliedschaft durch eine Beteiligungsvereinbarung gemäß § 4 der Rechtsverordnung geregelt worden ist.
#

§ 12
Fortsetzung von Mitgliedschaften

Die Kasse kann mit einem Mitglied, das in eine andere juristische Person übergeführt wird, die Fortsetzung der Mitgliedschaft vereinbaren. Eine besondere Vereinbarung kann die Kasse auch mit einem Anstellungsträger abschließen, der die Voraussetzungen des § 11 nicht erfüllt und der bisher weder bei der Kasse Mitglied, noch bei einer Zusatzversorgungseinrichtung, zu der Versicherungen übergeleitet werden, Mitglied ist, wenn der Anstellungsträger von einem Mitglied Aufgaben und bisher pflichtversicherte Beschäftigte übernommen hat.
#

§ 13
Erwerb, Inhalt und Pflichten der Mitgliedschaft

( 1 ) Das Mitgliedsverhältnis ist ein privatrechtliches Versicherungsverhältnis zwischen dem Anstellungsträger und der Kasse. Sein Inhalt wird durch die Vorschriften dieser Versorgungsordnung bestimmt.
( 2 ) Die Mitgliedschaft wird durch Aufnahme begründet; in dem Aufnahmeantrag ist anzugeben, ob nur eine Mitgliedschaft im Abrechnungsverband der freiwilligen Versicherung gewünscht wird. Die Kasse entscheidet über den Aufnahmeantrag des Anstellungsträgers schriftlich nach pflichtgemäßem Ermessen. In der Entscheidung ist der Zeitpunkt, in dem die Mitgliedschaft beginnt, festzusetzen.
( 3 ) Das Mitglied ist verpflichtet, der Kasse unentgeltlich über alle Umstände und Verhältnisse Auskunft zu erteilen, die für den Vollzug der Vorschriften dieser Versorgungsordnung von Bedeutung sind. Es ist insbesondere verpflichtet,
  1. unverzüglich seine sämtlichen der Versicherungspflicht unterliegenden Beschäftigten bei der Kasse anzumelden und bei Wegfall der Versicherungspflicht abzumelden, sowie der Kasse mitzuteilen, ob der Beitrag zur Pflichtversicherung und die im Rahmen der Entgeltumwandlung gezahlten Beiträge aus pauschal versteuertem, individuell versteuertem oder unversteuertem Einkommen stammt,
  2. seinen Beschäftigten nach Ablauf jeden Kalenderjahres sowie beim Ende der Versicherung einen Versicherungsnachweis der Kasse (§ 51 Abs. 1) auszuhändigen,
  3. seinen Beschäftigten die von der Kasse zur Verfügung gestellten Druckschriften auszuhändigen und gegebenenfalls zu erläutern,
  4. der Kasse jederzeit Auskunft über bestehende und frühere Arbeitsverhältnisse zu erteilen und ihr eine örtliche Prüfung der Voraussetzungen für die Versicherungspflicht sowie der Entrichtung der Beiträge und Sanierungsgelder zu gestatten,
  5. bei Meldungen im elektronischen Datenaustausch die von der Kasse erlassenen Meldevorschriften anzuwenden bzw. im Schriftverkehr mit der Kasse die von ihr herausgegebenen Formblätter zu benutzen,
  6. der Kasse mitzuteilen, wenn es als Mitglied Pflichtversicherte auf einen anderen Anstellungsträger/Arbeitgeber überträgt,
  7. der Kasse den Zeitpunkt der Einführung einer Eigenbeteiligung nach § 61 Abs. 2 Satz 1 und deren Höhe mitzuteilen; gleiches gilt bei Veränderung oder vollständiger Abschaffung der Eigenbeteiligung.
( 4 ) Das Mitglied ist verpflichtet, der Kasse unverzüglich Veränderungen bei den in oder aufgrund des § 11 für die Begründung der Mitgliedschaft aufgestellten Voraussetzungen mitzuteilen. Insbesondere sind mitzuteilen jede
  1. Gefährdung des dauerhaften Bestands des Mitglieds,
  2. Umfirmierung,
  3. Änderungen der Rechtsform,
  4. Verlegungen des juristischen Sitzes,
  5. Auflösung oder Überführung in eine andere juristische Person sowie
  6. der Wegfall aller versicherungspflichtigen Beschäftigungsverhältnisse.
( 5 ) Das Mitglied ist verpflichtet, die für die Pflichtversicherung geschuldeten Beiträge und Sanierungsgelder fristgemäß zu entrichten. Während der Beschäftigung werden die Beiträge zur freiwilligen Versicherung (§ 67) vom Mitglied an die Kasse abgeführt. Zahlungen sind mit den von der Kasse vorgegebenen Buchungsschlüsseln zu versehen.
( 6 ) Nach Ablauf jedes Kalenderjahres hat das Mitglied der Kasse eine Jahresmeldung für die einzelnen Pflichtversicherten zu übersenden. Die Jahresmeldung ist nach Versicherungsabschnitten zu gliedern, die die Berechnung der Anwartschaften ermöglichen.
( 7 ) Die Meldungen zur Abrechnung der Beiträge und Sanierungsgelder müssen der Kasse spätestens bis zum 31.01. des Folgejahres zugehen. Die Kasse kann diese Frist im Einzelfall verlängern. Für jeden Tag, um den die Frist überschritten wird, kann die Kasse einen Betrag von 25 Euro – insgesamt maximal 500,00 Euro – von dem Mitglied fordern. Der pauschale Schadensersatz nach Satz 3 ist zu reduzieren, wenn das Mitglied nachweist, dass der konkrete Schaden der Kasse geringer ist. Sofern der konkrete Schaden höher ist als der pauschale Schadensersatz nach Satz 3, bleibt es der Kasse unbenommen, ihren darüber hinausgehenden Schaden aufgrund der verspäteten Meldung geltend zu machen.
( 8 ) Für Klagen aus dem Mitgliedschaftsverhältnis ist ausschließlich das Gericht am Sitz des Landeskirchenamtes zuständig.
#

§ 14
Beendigung der Mitgliedschaft und ihre Rechtsfolgen

( 1 ) Die Mitgliedschaft endet,
  1. wenn das Mitglied aufgelöst wird,
  2. wenn das Mitglied in eine andere juristische Person übergeführt wird,
    oder
  3. durch Kündigung.
Satz 1 Buchst. a) gilt nicht, wenn die Auflösung durch ein anhängiges Insolvenzverfahren bedingt ist. Für diesen Fall kann die Beendigung der Mitgliedschaft nur durch eine Kündigungserklärung herbeigeführt werden.
( 2 ) Die Kündigung durch die Kasse ist zulässig, wenn die in oder aufgrund des § 11 für die Begründung der Mitgliedschaft aufgestellten Voraussetzungen aus anderen als den in Absatz 1 Buchst. a und Buchst. b niedergelegten Gründen ganz oder teilweise weggefallen sind. Die Kündigung ist mit einer Frist von sechs Monaten zum Schluss eines Kalenderjahres auszusprechen. Satz 1 gilt entsprechend, wenn eine in einer besonderen Vereinbarung nach § 12 festgelegte Voraussetzung entfallen ist.
( 3 ) Die Kündigung durch das Mitglied ist zum Schluss eines Kalenderjahres mit sechsmonatiger Frist zulässig.
( 4 ) Das Recht zur Kündigung aus wichtigem Grund ohne Einhaltung einer Frist bleibt unberührt. Ein wichtiger Grund liegt insbesondere vor, wenn das Mitglied mit der Erfüllung von Zahlungsverpflichtungen nach § 61 mit mehr als drei Monaten in Verzug ist. Ein wichtiger Grund liegt auch vor, wenn ein Mitglied Ausgliederungen vornimmt, ein Insolvenzverfahren anhängig ist oder wenn das Mitglied seiner Verpflichtung zur Anmeldung sämtlicher der Versicherungspflicht unterliegender Beschäftigter nicht nachkommt (§ 13 Abs. 3 Satz 2 Buchst. a).
( 4a ) Eine Kündigung kann unterbleiben, wenn sich das Mitglied verpflichtet, für die ausgeschiedenen Pflichtversicherten und die aufgrund früherer Pflichtversicherungen (§ 15a) dem übertragenen Bereich zuzuordnenden Ansprüche und unverfallbaren Anwartschaften, den anteiligen Ausgleichsbetrag nach § 15a zu zahlen. Satz 1 gilt nicht, wenn das Mitglied eine Sondervereinbarung (§ 12) geschlossen hat oder eine ordentliche Mitgliedschaft gemäß § 11 – die mit Auflagen versehen werden kann – für den ausgegliederten Bereich begründet wird.
( 5 ) Die Kündigung ist schriftlich auszusprechen und förmlich zuzustellen.
#

§ 15
Folgen einer Beendigung der Beteiligung

( 1 ) Die bis zur Beendigung des Beteiligungsverhältnisses erworbenen Anwartschaften und Ansprüche der aktiven und ehemaligen Beschäftigten des ausgeschiedenen Beteiligten bleiben bestehen und sind von der Kasse gemäß dieser Versorgungsordnung zu erfüllen (beitragsfreie Pflichtversicherung, vgl. § 21 Abs. 1). Es kann zu diesem Zeitpunkt ein Nachfinanzierungsbedarf in der Pflichtversicherung (Abrechnungsverband P, § 55 Abs. 1 Satz 1 Buchst. a und Abrechnungsverband S, § 55 Abs. 1 Satz 1 Buchst. c) bestehen, an dessen Deckung sich die oder der ausgeschiedene Beteiligte bei fortdauerndem Beteiligungsverhältnis gemäß § 61 Abs. 1 durch weitere Beiträge (Abrechnungsverband P) oder Sanierungsgelder (Abrechnungsverband S) kollektiv beteiligen würde. Bei Ausscheiden einer oder eines Beteiligten entfällt mangels Bestehens von Beitragspflichten nach § 61 Abs. 1 die Möglichkeit, diesen mittels Beiträgen bzw. Sanierungsgeldern an der Nachfinanzierung zu beteiligen. Dem ist - sofern eine Unterdeckung im Sinne des § 15a vorliegt - durch die nachfolgenden Maßnahmen zu begegnen.
( 2 ) Nach Beendigung des Beteiligungsverhältnisses hat die oder der ausgeschiedene Beteiligte dementsprechend an die Kasse nach Maßgabe der §§ 15a bis 15h einen finanziellen Ausgleich für die ihr oder ihm zum Zeitpunkt der Beendigung zuzurechnenden ungedeckten Verpflichtungen aus der Pflichtversicherung (Abrechnungsverband P und Abrechnungsverband S) zu erbringen (sog. Nachfinanzierungsbeitrag, vgl. § 15a).
( 3 ) Zur Abschätzung der wirtschaftlichen Folgen einer künftigen Beendigung ihrer oder seiner Beteiligung ist jede und jeder Beteiligte berechtigt, sich den finanziellen Ausgleich errechnen zu lassen, den er zum Ende des Vorjahres hätte leisten müssen. Die §§ 15a bis 15c, 15e Abs. 1 und § 15h finden entsprechende Anwendung.
( 4 ) Der von der oder dem ausgeschiedenen Beteiligten zu leistende finanzielle Ausgleich kann in unterschiedlicher Form erbracht werden und ist in den nachfolgenden Paragraphen, namentlich
  • § 15a (Finanzieller Ausgleich bei Unterdeckung),
  • § 15b (Berechnung des Nachfinanzierungsbeitrags),
  • § 15c (Zahlungsform des Nachfinanzierungsbeitrags),
  • § 15d (Alternativmodell turnusmäßige Vergleichsberechnung),
  • § 15e (Kosten der versicherungsmathematischen Gutachten, Kosten der jährlichen Vergleichsberechnung),
  • § 15f (Festsetzung des Nachfinanzierungsbeitrags, Entscheidungsfrist),
  • § 15g (Zahlungsfristen und -pflichten, Anzeigepflichten),
  • § 15h (Anteiliger Nachfinanzierungsbeitrag bei Ausgliederung)
und in den dazugehörigen Ausführungsbestimmungen im Anhang zur Versorgungsordnung abschließend geregelt.
#

§ 15a
Finanzieller Ausgleich bei Unterdeckung
(Nachfinanzierungsbeitrag)

( 1 ) Ein finanzieller Ausgleich ist nur dann zu leisten, wenn bei der Kasse im jeweiligen Abrechnungsverband in der Pflichtversicherung zum Zeitpunkt des Ausscheidens eine Unterdeckung vorliegt. Eine Unterdeckung ist für jeden Abrechnungsverband gesondert zu ermitteln. Sie liegt vor, wenn der Kapitaldeckungsgrad kleiner als 100 v.H. ist.
( 2 ) Der Kapitaldeckungsgrad wird ermittelt, indem das gemäß Absatz 3 ermittelte Vermögen im jeweiligen Abrechnungsverband ins Verhältnis zum gemäß der Absätze 4 und 5 ermittelten Barwert der Verpflichtungen im jeweiligen Abrechnungsverband gesetzt wird.
( 3 ) Das Vermögen ergibt sich aus dem testierten und festgestellten Jahresabschluss des der Beendigung der Beteiligung vorangegangenen Jahres. Es besteht im Wesentlichen aus den Bilanzpositionen Kapitalanlagen und Laufende Guthaben. Die Ausführungsbestimmungen zu dieser Vorschrift im Anhang zur Versorgungsordnung regeln abschließend, wie das Vermögen zu ermitteln ist.
( 4 ) Der Barwert der Verpflichtungen des jeweiligen Abrechnungsverbands ist nach den anerkannten Regeln der Versicherungsmathematik vom Verantwortlichen Aktuar der Kasse zum des der Beendigung der Beteiligung vorangegangenen Jahres auf Grundlage der Rechnungsgrundlagen nach Absatz 5 zu ermitteln. Für die Ermittlung des Barwerts sind alle unverfallbaren Anwartschaften und Ansprüche im Abrechnungsverband einzubeziehen (Abrechnungsverbände S und P) ohne Vorsorge für zukünftige soziale Komponenten gemäß § 35 Versorgungsordnung. Einzelheiten sind in den Ausführungsbestimmungen zu dieser Vorschrift im Anhang zur Versorgungsordnung abschließend geregelt.
( 5 ) Die für die Ermittlung des Barwerts der Verpflichtungen des jeweiligen Abrechnungsverbands maßgeblichen Rechnungsgrundlagen sind:
  • der Rechnungszins zur Abzinsung der Verpflichtungen,
  • die biometrischen Rechnungsgrundlagen,
  • das Renteneintrittsalter und
  • die Verwaltungskostenrückstellung.
Als Rechnungszins ist eine Verzinsung in Höhe des durch die Deckungsrückstellungsverordnung festgelegten Höchstrechnungszinses zugrunde zu legen. Mit Ausnahme des vorgenannten Rechnungszinses entsprechen die Rechnungsgrundlagen den Rechnungsgrundlagen zur Ermittlung der Deckungsrückstellung gemäß § 56 Abs. 2 und 3 (tarifvertraglich ermittelte Brutto-Deckungsrückstellung zuzüglich gesonderte Deckungsrückstellung für Biometrie im Sinne der Ausführungsbestimmungen zu § 56), wie sie der Technische Geschäftsplan zum Zeitpunkt der Beendigung der Beteiligung vorschreibt und wie sie den Ausführungsbestimmungen zu dieser Vorschrift im Anhang zu dieser Versorgungsordnung entnommen werden können. Die jährliche Anpassung der Betriebsrenten gemäß § 37 wird bei der Ermittlung des Barwerts der Verpflichtungen berücksichtigt.
( 6 ) Liegt der testierte und festgestellte Jahresabschluss des der Beendigung der Beteiligung vorangegangenen Kalenderjahres bereits vor, teilt die Kasse der oder dem ausgeschiedenen Beteiligten innerhalb von drei Monaten, nachdem sie von der Beendigung der Beteiligung Kenntnis erlangt hat, in Textform mit, ob und in welcher Höhe eine Unterdeckung im jeweiligen Abrechnungsverband besteht, die einen finanziellen Ausgleich der oder des ausgeschiedenen Beteiligten zur Folge hat.
( 7 ) Einzelheiten zur Berechnungsmethode des Kapitaldeckungsgrads nach Absatz 2, zur Ermittlung des Vermögens nach Absatz 3, zur Ermittlung, zu den einzelnen Bestandteilen und den Rechnungsgrundlagen des Barwerts der Verpflichtungen nach den Absätzen 4 und 5 sind in den Ausführungsbestimmungen zu dieser Vorschrift im Anhang zur Versorgungsordnung abschließend geregelt.
#

§ 15b
Berechnung des Nachfinanzierungsbeitrags

( 1 ) Der finanzielle Ausgleich wird als Nachfinanzierungsbeitrag berechnet. Der Nachfinanzierungsbeitrag ist der nicht durch Vermögen gedeckte Barwert der Verpflichtungen, die der oder dem ausgeschiedenen Beteiligten zum Zeitpunkt der Beendigung der Beteiligung zuzurechnen sind. Der Nachfinanzierungsbeitrag ist für jeden Abrechnungsverband der Pflichtversicherung getrennt zu ermitteln.
( 2 ) Für die Ermittlung des Barwerts der der oder dem ausgeschiedenen Beteiligten zuzurechnenden Verpflichtungen sind zu berücksichtigen:
  1. Ansprüche von Betriebsrentenberechtigten und künftige Ansprüche von deren Hinterbliebenen einschließlich der Ansprüche nach §§ 69 bis 71 und ruhender Ansprüche (§ 39),
  2. Versorgungspunkte aus unverfallbaren Anwartschaften; eine Anwartschaft ist dann unverfallbar, wenn die Wartezeit nach § 32 abgelaufen oder, sollte die Wartezeit nicht abgelaufen sein, Unverfallbarkeit nach dem Betriebsrentengesetz eingetreten ist.
Einzelheiten sind in den Ausführungsbestimmungen zu dieser Vorschrift im Anhang zu dieser Versorgungsordnung abschließend geregelt.
( 3 ) Der Barwert der Verpflichtungen, die der oder dem ausgeschiedenen Beteiligten zuzurechnen sind, ist unter Verwendung der Rechnungsgrundlagen aus § 15a Abs. 5 nach den anerkannten Regeln der Versicherungsmathematik vom Verantwortlichen Aktuar der Kasse zum Zeitpunkt der Beendigung der Beteiligung zu ermitteln.
( 4 ) Der nicht durch Vermögen gedeckte Anteil des nach den Absätzen 2 und 3 ermittelten Barwerts der Verpflichtungen, die der oder dem ausgeschiedenen Beteiligten zuzurechnen sind, ergibt sich aus dessen Multiplikation mit dem ermittelten Unterdeckungsgrad (1 – Kapitaldeckungsgrad nach § 15a Abs. 2).
( 5 ) Die Ermittlung des Nachfinanzierungsbeitrags erfolgt durch ein versicherungsmathematisches Gutachten des Verantwortlichen Aktuars der Kasse. Liegen nicht alle für die Berechnung des Nachfinanzierungsbeitrags erforderlichen Daten vor, fordert die Kasse diese bei der oder dem ausgeschiedenen Beteiligten an. Diese oder dieser hat die angeforderten Daten der Kasse unverzüglich mitzuteilen.
( 6 ) Einzelheiten zur Ermittlung, zu den einzelnen Bestandteilen und zu den Rechnungsgrundlagen des nicht durch Vermögen gedeckten Barwerts der Verpflichtungen sind in den Ausführungsbestimmungen zu dieser Vorschrift im Anhang zu dieser Versorgungsordnung abschließend geregelt.
#

§ 15c
Zahlungsform des Nachfinanzierungsbeitrags

( 1 ) Die oder der ausgeschiedene Beteiligte hat den Nachfinanzierungsbeitrag in Form eines Einmalbetrags innerhalb der in § 15g Abs. 1 Satz 1 geregelten Frist zu zahlen.
( 2 ) Zudem kann er den Nachfinanzierungsbeitrag auch in maximal 20 gleichbleibenden Jahresraten tilgen, wobei die oder der ausgeschiedene Beteiligte den Tilgungszeitraum innerhalb der 20 Jahre frei wählen und bestimmen kann (Ratenzahlung). Die auf den jeweiligen Tilgungszeitraum zu erbringenden annuitätischen Jahresraten enthalten sowohl einen Zins- als auch einen Tilgungsanteil. Die jährliche Verzinsung auf den Betrag des ratierlich zu erbringenden Nachfinanzierungsbetrags erfolgt dabei in Höhe des Rechnungszinses zur Abzinsung der Verpflichtungen (vgl. § 15a Abs. 5); maßgeblich für die Verzinsung ist der Rechnungszins zum Zeitpunkt der Beendigung der Beteiligung. Einzelheiten zur Berechnungsmethode der Ratenzahlung regeln die Ausführungsbestimmungen zu dieser Vorschrift im Anhang zu dieser Versorgungsordnung.
( 3 ) Die oder der ausgeschiedene Beteiligte kann seine Entscheidung zur Gestaltung der Zahlungsform des Nachfinanzierungsbeitrags, Einmalbetrag oder Ratenzahlung, gesondert nach den Abrechnungsverbänden P und S treffen (zu den Entscheidungsfristen siehe § 15f).
#

§ 15d
Alternativmodell turnusmäßige Vergleichsberechnung

( 1 ) Optional zu der Zahlungsform Einmalbetrag oder Ratenzahlung nach § 15c kann die oder der ausgeschiedene Beteiligte eine turnusmäßige Vergleichsberechnung wählen, aus der jährliche Zahlungsverpflichtungen der Kasse, aber auch der oder des ausgeschiedenen Beteiligten an die Kasse unter Berücksichtigung der Bestandsentwicklung resultieren können. Die oder der ausgeschiedene Beteiligte kann diese Option ebenfalls gesondert nach den Abrechnungsverbänden P und S treffen (zu den Entscheidungsfristen siehe § 15f).
( 2 ) Die durch die Kasse alle fünf Jahre nach der Beendigung der Beteiligung durchzuführende Vergleichsberechnung dient dem Ausgleich des Prognoserisikos. Dieses Risiko liegt darin, dass der nach § 15b ermittelte Nachfinanzierungsbeitrag aufgrund einer Abweichung der tatsächlichen Verhältnisse von den Kalkulationsgrundlagen zu hoch oder zu niedrig sein kann. Dazu wird alle fünf Jahre nach der Beendigung der Beteiligung über einen Zeitraum von maximal 20 Jahren seit Beendigung der Beteiligung (Vergleichszeitraum) eine Vergleichsberechnung nach Maßgabe der nachfolgenden Absätze durchgeführt und eine jeweilige Anpassung der Zahlungspflichten vorgenommen.
( 3 ) Zum Vergleichszeitpunkt (Absatz 4) wird ein aktueller nach Absatz 5 ermittelter Barwert der der oder dem ausgeschiedenen Beteiligten zuzurechnenden Verpflichtungen bestimmt (Barwertaktuell). Der Barwertaktuell wird mit dem nach Absatz 6 ermittelten fortgeschriebenen Barwert (Barwertfortgeschrieben) verglichen. Ist der Barwertaktuell kleiner als der Barwertfortgeschrieben, hat die oder der ausgeschiedene Beteiligte Anspruch auf den Differenzbetrag; im umgekehrten Fall hat die Kasse Anspruch auf den Differenzbetrag. Die Begleichung des Differenzbetrags ist in Absatz 7 geregelt. Bei der ersten Vergleichsberechnung wird zusätzlich der Kapitaldeckungsgrad für das Jahr des Ausscheidens auf Grundlage des Vermögens nach dem testierten und festgestellten Jahresabschluss für das Jahr der Beendigung der Beteiligung, anstelle des nach § 15a Abs. 3 bei der erstmaligen Berechnung herangezogenen Jahresabschlusses für das der Beendigung der Beteiligung vorausgegangene Jahr, neu ermittelt und ein etwaiger Differenzbetrag nach Maßgabe der Ausführungsbestimmungen in die Neuberechnung einbezogen.
( 4 ) Die Vergleichsberechnung erfolgt erstmalig zum Ablauf des fünften Jahres, das auf die Beendigung der Beteiligung folgt, und letztmalig für das Kalenderjahr, mit dem der Vergleichszeitraum endet. Bewertungsstichtag ist jeweils der 31.12. des Berechnungsjahres (Vergleichszeitpunkt). Die Kasse übermittelt der oder dem ausgeschiedenen Beteiligten die Vergleichsberechnung innerhalb von drei Monaten nach Feststellung des Jahresabschlusses des Berechnungsjahres.
( 5 ) Der Barwertaktuell wird anhand der zum Vergleichszeitpunkt der oder dem ausgeschiedenen Beteiligten noch zuzurechnenden Verpflichtungen (§ 15b Abs. 2) und den zum Vergleichszeitpunkt jeweils maßgeblichen Rechnungsgrundlagen (§ 15b Abs. 3 und § 15a Abs. 5) ermittelt (Barwertaktuell).
( 6 ) Der Barwertfortgeschrieben wird aus dem Barwertursprünglich berechnet. Bei der ersten Vergleichsberechnung entspricht der Barwertursprünglich dem Barwert der Verpflichtungen zum Zeitpunkt der Beendigung der Beteiligung (§ 15b Abs. 2 und 3). Bei den folgenden Vergleichsberechnungen wird als Barwertursprünglich der Barwertaktuell der Vergleichsberechnung der letzten Vergleichsberechnung verwendet. Der mit der Nettoverzinsung (= alle Anlageerträge der Abrechnungsverbände S bzw. P eines Jahres abzüglich aller Aufwendungen des jeweiligen Abrechnungsverbands geteilt durch die Bilanzsumme des jeweiligen Abrechnungsverbands) verzinste und um die Rentenzahlungen reduzierte Barwertursprünglich ergibt unter Berücksichtigung der Erhöhungen und Verminderungen durch Überleitungen den Barwertfortgeschrieben. Näheres regeln die Ausführungsbestimmungen abschließend.
( 7 ) Wie der Differenzbetrag zwischen dem Barwertaktuell und dem Barwertfortgeschrieben beglichen wird, ist davon abhängig, ob die oder der ausgeschiedene Beteiligte die Zahlungsform Einmalbetrag oder Ratenzahlung gewählt hat. Bei der Zahlungsform Einmalbetrag haben die Kasse bzw. die oder der ausgeschiedene Beteiligte bei jeder turnusmäßigen Vergleichsberechnung den Differenzbetrag zu zahlen. Hat die oder der ausgeschiedene Beteiligte die Ratenzahlung gewählt, erhöht bzw. verringert der Differenzbetrag die noch zu zahlende Restforderung für die Dauer der Restlaufzeit und entsprechend die sich daraus ergebende festzulegende Jahresrate. Nach Ende der Restlaufzeit richtet sich die Zahlung eines Differenzbetrags nach Satz 2.
( 8 ) Ist der von der oder dem ausgeschiedenen Beteiligten zu zahlende Differenzbetrag größer als 20 v.H. des Nachfinanzierungsbeitrags nach § 15b und wurde der Nachfinanzierungsbeitrag vollständig gezahlt, gewährt die Kasse auf Antrag eine Ratenzahlung des Differenzbetrags. Die Laufzeit der Ratenzahlung wird dabei so gewählt, dass die jährliche Rate 10 v.H. des Nachfinanzierungsbeitrags nach § 15b gerade nicht übersteigt. Ist der Nachfinanzierungsbeitrag noch nicht vollständig gezahlt, passt die Kasse auf Antrag die Jahresrate bei unveränderter Restlaufzeit der Ratenzahlung an; steigt die Jahresrate dabei auf über 10 v.H. des Nachfinanzierungsbeitrags, verlängert die Kasse auf Antrag die Restlaufzeit der Ratenzahlung gemäß Satz 2 über den ursprünglich gewählten Ratenzahlungszeitraum hinaus. Die Verzinsung und Berechnung der an den Differenzbetrag angepassten Ratenzahlung richtet sich nach § 15c Abs. 2.
( 9 ) Die turnusmäßige Vergleichsberechnung wird durch den Verantwortlichen Aktuar durchgeführt. Einzelheiten zur Vergleichsberechnung, zur Ermittlung, zu den einzelnen Bestandteilen und zu den Rechnungsgrundlagen der Barwerte nach den vorstehenden Absätzen regeln die Ausführungsbestimmungen zu dieser Vorschrift im Anhang zu dieser Versorgungsordnung abschließend.
#

§ 15e
Kosten der versicherungsmathematischen Gutachten, Kosten der jährlichen Vergleichsberechnung

( 1 ) Die Kosten für das versicherungsmathematische Gutachten über die Höhe des zu leistenden Nachfinanzierungsbeitrags nach § 15b werden der oder dem ausgeschiedenen Beteiligten in Rechnung gestellt. Die Kosten für die versicherungsmathematische Ermittlung einer Unterdeckung nach § 15a trägt die Kasse.
( 2 ) Hat die oder der ausgeschiedene Beteiligte das Alternativmodell jährliche Vergleichsberechnung nach § 15d gewählt, tragen die Kasse und die oder der ausgeschiedene Beteiligte die Kosten des jährlichen versicherungsmathematischen Gutachtens für die jährliche Vergleichsberechnung jeweils zur Hälfte. Die hälftigen Kosten werden der oder dem ausgeschiedenen Beteiligten in Rechnung gestellt.
#

§ 15f
Festsetzung des Nachfinanzierungsbeitrags, Entscheidungsfrist

( 1 ) Die Kasse setzt den jeweiligen Nachfinanzierungsbeitrag auf Basis des versicherungsmathematischen Gutachtens fest. In dem versicherungsmathematischen Gutachten werden die Modelle mit ihren Wirkungen je Abrechnungsverband dargestellt; dazu enthält es
  • die Höhe des Nachfinanzierungsbeitrags als Einmalbetrag,
  • die Jahresraten inklusive der jährlichen Verzinsung für den maximalen Zeitraum von 20 Jahren oder eines anderen vom ausgeschiedenen Beteiligten schon festgelegten Zahlungszeitraums für die Zahlungsform der Ratenzahlung,
  • eine beispielhafte Modellrechnung für den maximalen Zeitraum von 20 Jahren für das Alternativmodell jährliche Vergleichsberechnung.
Die Kasse übermittelt der oder dem ausgeschiedenen Beteiligten das versicherungsmathematische Gutachten des Verantwortlichen Aktuars zusammen mit der Entscheidung über die Festsetzung und fordert in Textform den Nachfinanzierungsbeitrag als Einmalbetrag an. Der Nachfinanzierungsbeitrag ist als Einmalbetrag innerhalb der Zahlungsfrist nach § 15g zu zahlen, wenn sich die oder der ausgeschiedene Beteiligte nicht gemäß Absatz 2 erklärt.
( 2 ) Die oder der ausgeschiedene Beteiligte kann der Kasse innerhalb von sechs Monaten nach Zugang der Zahlungsaufforderung nach Absatz 1 durch Erklärung in Textform mitteilen, dass sie oder er den Nachfinanzierungsbeitrag nicht als Einmalbetrag, sondern als Ratenzahlung unter Angabe der von ihr oder ihm gewünschten Anzahl an Jahresraten, maximal jedoch bis zu 20 Jahresraten, wählt. Geht der Kasse innerhalb dieser sechs Monate keine Entscheidung des ausgeschiedenen Beteiligten zu und hat die oder der ausgeschiedene Beteiligte den unterbliebenen Zugang zu vertreten, gilt dies als Wahl des Nachfinanzierungsbeitrags in der Zahlungsform des Einmalbetrags ohne Ratenzahlung. Die Kasse weist die oder den ausgeschiedenen Beteiligten mit der Zahlungsaufforderung nach Absatz 1 auf diese Rechtsfolge hin.
( 3 ) Innerhalb von sechs Monaten nach Zugang der Zahlungsaufforderung nach Absatz 1 kann die oder der ausgeschiedene Beteiligte der Kasse ebenfalls durch Erklärung in Textform mitteilen, dass er das Alternativmodell einer turnusmäßigen Vergleichsberechnung nach § 15d unter Angabe der von ihm gewünschten Anzahl an Jahren, mindestens fünf Jahre und in Schritten von jeweils fünf weiteren Jahren bis zu maximal 20 Jahren, des Vergleichszeitraums wählt. Geht der Kasse innerhalb dieser sechs Monate keine Entscheidung der oder des ausgeschiedenen Beteiligten zu und hat die oder der ausgeschiedene Beteiligte den unterbliebenen Zugang zu vertreten, erlischt die Option. Die Kasse weist die oder den ausgeschiedenen Beteiligten mit der Zahlungsaufforderung nach Absatz 1 auf diese Rechtsfolge hin.
#

§ 15g
Zahlungsfristen und -pflichten, Anzeigepflichten

( 1 ) Der Einmalbetrag ist innerhalb von sechs Monaten nach Zugang der Zahlungsaufforderung zu zahlen, wenn die oder der ausgeschiedene Beteiligte nicht die Ratenzahlung gemäß § 15f Abs. 2 gewählt hat. § 65 Satz 3 gilt entsprechend.
( 2 ) Wählt die oder der ausgeschiedene Beteiligte die Ratenzahlung des Nachfinanzierungsbeitrags, ermittelt die Kasse die Höhe der zu leistenden Jahresraten inklusive Verzinsung und stellt unverzüglich Rechnung. Die erste Rate wird zum 30. Juni des Jahres der Rechnungsstellung fällig, wenn die Rechnungsstellung mindestens drei Monate vorher erfolgt; andernfalls wird die Rate zum 31. Dezember dieses Jahres fällig. Die nachfolgenden Raten werden jeweils ein Jahr später fällig. § 65 Satz 3 gilt entsprechend. Ist die oder der ausgeschiedene Beteiligte mit einer Ratenzahlung für einen oder beide Abrechnungsverbände mehr als drei Monate in Verzug, ist die Kasse berechtigt, den Ratenzahlungszeitraum zu beenden und sämtliche noch ausstehenden Raten fällig zu stellen. Die oder der ausgeschiedene Beteiligte ist einmalig während des Ratenzahlungszeitraums berechtigt, die Rechtsfolgen der Fälligstellung abzuwenden, wenn sie oder er den Betrag, mit dem sie oder er sich in Verzug befindet, nebst hierauf angefallener Zinsen binnen eines Monats nach Zugang der Fälligstellung ausgleicht.
( 3 ) Hat sich die oder der ausgeschiedene Beteiligte für das Alternativmodell der turnusmäßigen Vergleichsberechnung (§ 15d) entschieden, ist beim Einmalbetrag der Differenzbetrag innerhalb von drei Monaten nach Zugang der Mitteilung über das Ergebnis der Vergleichsberechnung seitens der oder des ausgeschiedenen Beteiligten oder der Kasse fällig. Innerhalb dieser Frist sind ebenfalls die hälftigen Kosten des versicherungsmathematischen Gutachtens an die Kasse (§ 15e Absatz 2) zu zahlen. § 65 Satz 3 gilt entsprechend. Bei noch laufender Ratenzahlung teilt die Kasse das Ergebnis der Vergleichsberechnung und die daraus errechneten Raten mit; die hälftigen Kosten des versicherungsmathematischen Gutachtens sind innerhalb von drei Monaten nach Zugang der Mitteilung fällig. Für die Dauer der Restlaufzeit der Ratenzahlung richtet sich die Zahlungsverpflichtung der noch zu leistenden Raten nach Absatz 2; nach Ende der Restlaufzeit richtet sich die Zahlungsverpflichtung des Differenzbetrags nach den Sätzen 1 bis 3.
#

§ 15h
Anteiliger Nachfinanzierungsbeitrag bei Ausgliederung

Werden von einer oder einem Beteiligten Arbeitsverhältnisse auf einen Arbeitgeber, der nicht Beteiligter der Kasse ist, übertragen, so ist die oder der Beteiligte verpflichtet, für die ausgeschiedenen Pflichtversicherten und die dem übertragenen Bestand zuzuordnenden Ansprüche und Anwartschaften den anteiligen Nachfinanzierungsbeitrag zu leisten. Die §§ 15 bis 15g gelten entsprechend. Kann durch die oder den ausgeschiedenen Beteiligten nicht festgestellt werden, welche Ansprüche und Anwartschaften dem übertragenen Bestand zuzuordnen sind, so sind die am Tag vor der Übertragung bereits beitragsfreien Anwartschaften und Ansprüche in dem Verhältnis zuzurechnen, das dem Verhältnis der Zahl der übernommenen Beschäftigten zur Gesamtzahl der am Tag vor der Personalübernahme über die oder den Beteiligten pflichtversicherten Beschäftigten entspricht.
#

Abschnitt II
Voraussetzungen und Inhalt der Versicherungsverhältnisse

##

§ 16
Arten der Versicherungsverhältnisse

( 1 ) Versicherungsverhältnisse sind
  1. die Pflichtversicherung (§§ 17 bis 22) und
  2. die freiwillige Versicherung (§ 23).
Eine Entgeltumwandlung gilt als freiwillige Versicherung, soweit sie nicht im Rahmen der Pflichtversicherung zu leistende Beiträge ersetzt.
( 2 ) Versicherungsnehmer der Pflichtversicherung ist das Mitglied. Versicherungsnehmer/in der freiwilligen Versicherung und der beitragsfreien Versicherung kann die/der Versicherte oder das Mitglied sein. Bezugsberechtigte der Pflichtversicherung und der beitragsfreien Pflichtversicherung sind die/der Versicherte und deren/dessen Hinterbliebene.
#

1. Die Pflichtversicherung

#

§ 17
Begründung der Pflichtversicherung

Die Pflichtversicherung entsteht, falls die Voraussetzungen der Versicherungspflicht (§§ 18und 19) gegeben sind, mit dem Eingang der Anmeldung. Sie beginnt zu dem Zeitpunkt, in dem nach den Angaben in der Anmeldung die Voraussetzungen für die Versicherungspflicht eingetreten sind. Entstehen bei der Kasse für dieselbe Person aufgrund mehrerer Arbeitsverhältnisse mehrere Pflichtversicherungen, sind diese als einheitliches Versicherungsverhältnis zu behandeln.
#

§ 18
Versicherungspflicht

( 1 ) Der Versicherungspflicht unterliegen – vorbehaltlich des § 19 – vom Beginn des Beschäftigungsverhältnisses an Beschäftigte, wenn sie
  1. das 17. Lebensjahr vollendet haben und
  2. die Wartezeit (§ 32) erfüllen können.
Die Wartezeit muss bis zum Ablauf des Monats, in dem der/die Beschäftigte das gesetzlich festgelegte Alter zum Erreichen einer abschlagsfreien Regelaltersrente vollendet, erfüllt werden können; frühere Versicherungszeiten, die auf die Wartezeit angerechnet werden, sind zu berücksichtigen. Beschäftigte im Sinne der Versorgungsordnung sind Mitarbeiter/innen und Auszubildende (§ 22).
Der Versicherungspflicht unterliegen – vorbehaltlich des § 19 – auch vertretungsberechtigte Organmitglieder eines Mitglieds, für die die Teilnahme an der Zusatzversorgung durch Dienstvertrag vereinbart ist.
( 2 ) Wechselt eine/ein Pflichtversicherte/r von einem Mitglied zu einem anderen Arbeitgeber, der weder Mitglied der Kasse noch einer Zusatzversorgungseinrichtung ist, zu der Versicherungen übergeleitet werden, an dem aber das Mitglied unmittelbar oder über ein verbundenes Unternehmen beteiligt ist, kann die Pflichtversicherung aufrechterhalten werden, wenn die Pflicht zur Versicherung mit Zustimmung der Kasse, die mit Auflagen versehen werden kann, arbeitsvertraglich vereinbart wird. Im Verhältnis zur Kasse gilt das Mitglied weiterhin als Anstellungsträger der/des Pflichtversicherten.
( 3 ) Der Versicherungspflicht unterliegen unter den Voraussetzungen von Absatz 1
  1. Waldarbeiter, wenn für ihre Arbeitsverhältnisse aufgrund Tarifvertrages oder aufgrund eines durch den Arbeitsvertrag für anwendbar erklärten Tarifvertrages die Pflicht zur Versicherung besteht sowie
  2. Beschäftigte, die unter den Tarifvertrag zur Regelung der Rechtsverhältnisse der Beschäftigten in der Fleischuntersuchung (TV Fleischuntersuchung vom 15. September 2008) fallen, soweit die Beschäftigung in Betrieben erfolgt, bei denen nach diesem Tarifvertrag Stundenentgelt zu zahlen ist.
( 4 ) Der Anspruch der/des Beschäftigten nach § 1b Abs. 5 Nr. 2 BetrAVG auf Fortführung der Versicherung mit eigenen Beiträgen nach Beendigung des Beschäftigungsverhältnisses ist unter Bezugnahme auf § 30e Abs. 2 BetrAVG für die Pflichtversicherung ausgeschlossen. Der Anspruch der/des Beschäftigten nach § 1 Abs. 2 Nr. 4 zweiter Halbsatz in Verbindung mit § 1a Abs. 4 BetrAVG auf Fortführung der Versicherung mit eigenen Beiträgen in entgeltlosen Zeiten während eines bestehenden Beschäftigungsverhältnisses ist für die Pflichtversicherung ausgeschlossen.
#

§ 19
Ausnahmen von der Versicherungspflicht

( 1 ) Versicherungsfrei sind Beschäftigte, die
  1. bis zum Beginn der Mitgliedschaft ihres Arbeitgebers bei der Kasse oder einer anderen Zusatzversorgungseinrichtung im Sinne von § 27 Abs. 1 nach einem Tarifvertrag, einer Ruhelohnordnung oder einer entsprechenden Bestimmung für den Fall der Dienstunfähigkeit oder des Erreichens einer Altersgrenze eine Anwartschaft oder einen Anspruch auf eine vom Arbeitgeber zu gewährende lebenslängliche Versorgung und Hinterbliebenenversorgung auf der Grundlage des nach der Regelung ruhegeldfähigen Arbeitsentgelts und der Dauer der Dienstjahre, Betriebszugehörigkeit oder dgl. haben,
  2. eine Anwartschaft oder einen Anspruch auf lebenslängliche Versorgung nach beamten- oder soldatenrechtlichen Vorschriften oder Grundsätzen oder entsprechenden kirchenrechtlichen Regelungen mindestens in Höhe der beamtenrechtlichen Mindestversorgungsbezüge haben und denen Hinterbliebenenversorgung gewährleistet ist,
  3. für das bei dem Mitglied bestehende Arbeitsverhältnis aufgrund gesetzlicher, tariflicher oder vertraglicher Vorschrift einer anderen Zusatzversorgungseinrichtung (Versorgungsanstalt der deutschen Bühnen, Versorgungsanstalt der deutschen Kulturorchester, Bahnversicherungsanstalt Abteilung B oder einer gleichartigen Versorgungseinrichtung) angehören müssen,
  4. [aufgehoben]
  5. Rente wegen Alters nach §§ 35 bis 40 bzw. §§ 235 bis 238 SGB VI als Vollrente erhalten oder erhalten haben oder bei denen der Versicherungsfall der Betriebsrente wegen Alters nach § 43 Satz 2 i. V. m. § 31 oder einer entsprechenden Vorschrift der Satzung einer Zusatzversorgungseinrichtung im Sinne von § 27 Abs. 1 eingetreten ist,
  6. eine Übergangszahlung nach § 46 Nr. 4 TVöD BT-V (VKA) oder eine Übergangsversorgung nach den tarifvertraglichen Vorgängerregelungen erhalten,
  7. mit Rücksicht auf ihre Zugehörigkeit zu einem ausländischen System der sozialen Sicherung nicht der Pflichtversicherung in der gesetzlichen Rentenversicherung unterliegen und sich dort auch nicht freiwillig versichert haben,
  8. ihre Rentenanwartschaften aus der gesetzlichen Rentenversicherung oder einem sonstigen Alterssicherungssystem auf ein Versorgungssystem der europäischen Gemeinschaften oder ein Versorgungssystem einer europäischen Einrichtung (z. B. Europäisches Patentamt, Europäisches Hochschulinstitut, Eurocontrol) übertragen haben,
  9. im Sinne des § 8 Abs. 1 Nr. 2 SGB IV geringfügig beschäftigt sind,
  10. aufgrund einer Mitgliedschaft bei einer berufsständischen Versorgungseinrichtung von der Versicherungspflicht auf ihren Antrag nach § 17 Abs. 3 Buchst. e) der Versorgungsordnung in der am 31. Dezember 2001 maßgebenden Fassung befreit wurden,
  11. nicht unter den Personenkreis des § 1 des Tarifvertrages über die zusätzliche Altersvorsorge der Beschäftigten des öffentlichen Dienstes – Altersvorsorge-TV-Kommunal – (ATV-K) fallen oder als Beschäftigte eines sonstigen Mitglieds nicht unter den Personenkreis dieser Vorschrift fallen würden, wenn das Mitglied diesen Tarifvertrag anwenden würde, es sei denn, dass die Teilnahme an der Zusatzversorgung durch den Arbeitsvertrag vereinbart ist,
  12. für die Dauer ihrer freiwilligen Mitgliedschaft beim Versorgungswerk der Presse auf ihren schriftlichen Antrag von der Pflicht zur Versicherung befreit worden sind; wird der Antrag spätestens zwölf Monate nach Beginn der Pflicht zur Versicherung gestellt, gilt die Pflichtversicherung als nicht entstanden,
  13. in einem befristeten Arbeitsverhältnis mit einer wissenschaftlichen Tätigkeit an Hochschulen oder Forschungseinrichtungen eingestellt werden, bisher nicht in der Zusatzversorgung pflichtversichert waren und auf ihren Antrag vom Mitglied von der Pflicht zur Versicherung befreit worden sind, weil sie wegen der Dauer der Befristung die Wartezeit nach § 32 Abs. 1 nicht erfüllen können oder
  14. bei einem Arbeitgeber beschäftigt sind, dessen Mitgliedschaft zur Durchführung der Entgeltumwandlung auf den Abrechnungsverband der freiwilligen Versicherung beschränkt ist.
( 2 ) Wird in den Fällen von Absatz 1 Buchst. m das Arbeitsverhältnis verlängert oder fortgesetzt, beginnt die Pflichtversicherung mit dem Ersten des Monats, in dem die Verlängerung oder Fortsetzung des Arbeitsverhältnisses über fünf Jahre hinaus vereinbart wurde; eine rückwirkende Pflichtversicherung von Beginn des Arbeitsverhältnisses an ist ausgeschlossen.
( 3 ) [unbesetzt]
( 4 ) [unbesetzt]
( 5 ) Beschäftigte, die bei der Versorgungsanstalt der deutschen Bühnen oder der Versorgungsanstalt der deutschen Kulturorchester freiwillig weiterversichert sind und die deshalb nach Absatz 1 Buchst. d in der vor dem 31. Dezember 2015 geltenden Fassung von der Pflicht zur Versicherung ausgenommen waren, können bei ihrem Arbeitgeber bis zum 31. Dezember 2016 schriftlich einen Antrag auf Anmeldung zur Pflichtversicherung stellen. Die Pflichtversicherung beginnt in diesem Fall am Ersten des Monats, in dem der Antrag beim Arbeitgeber eingeht. Eine Nachversicherung für zurückliegende Zeiträume ist nicht möglich. Wird bis zum 31. Dezember 2016 kein Antrag gestellt, ist die Befreiung von der Versicherungspflicht endgültig.
#

§ 20
Ende der Versicherungspflicht

( 1 ) Die Versicherungspflicht endet mit der Beendigung des Beschäftigungsverhältnisses oder in dem Zeitpunkt, in dem ihre Voraussetzungen entfallen.
( 2 ) Die Abmeldung von der Pflichtversicherung (§ 13 Abs. 3 Satz 2 Buchst. a) kann unterbleiben, wenn das Arbeitsverhältnis unter den in § 66 Abs. 3 Satz 2 genannten Voraussetzungen beendet worden ist. Die Abmeldung ist auf den Zeitpunkt der Beendigung des Arbeitsverhältnisses nachzuholen, falls der Pflichtversicherte von seinem Anspruch auf Wiedereinstellung keinen Gebrauch macht.
( 3 ) Die Höhe der Anwartschaft beschränkt sich – abgesehen von Anwartschaften aus Überschüssen nach Maßgabe des § 66 – auf die bis zum Ende der Beschäftigung erworbenen Versorgungspunkte.
#

§ 21
Beitragsfreie Pflichtversicherung

( 1 ) Die Pflichtversicherung bleibt als beitragsfreie Pflichtversicherung bestehen, wenn die Voraussetzungen für die Versicherungspflicht entfallen sind. Dies gilt auch
  1. bei Beendigung der Mitgliedschaft des Anstellungsträgers oder
  2. wenn der Anspruch auf Betriebsrente in den Fällen des § 40 Abs. 1 Buchst. b erlischt.
( 2 ) Die beitragsfreie Pflichtversicherung endet bei Eintritt des Versicherungsfalles, Überleitung der Pflichtversicherung auf eine andere Zusatzversorgungseinrichtung, Tod, Erlöschen der Anwartschaft oder bei Beginn einer erneuten Pflichtversicherung. Sie endet ferner, wenn der/die Versicherte, der/die die Wartezeit nicht erfüllt hat, das 69. Lebensjahr vollendet.
#

§ 22
Ausbildungsverhältnisse

Auszubildende im Sinne der Versorgungsordnung sind Auszubildende und Schüler/innen, die unter den Tarifvertrag für Auszubildende des öffentlichen Dienstes (TVAöD) vom 13. September 2005 in der jeweils geltenden Fassung fallen oder die unter diesen Tarifvertrag fielen, wenn das Mitglied diesen Tarifvertrag anwenden würde.
Als Beschäftigte im Sinne der Versorgungsordnung gelten auch Auszubildende/Schüler-/innen, mit denen das Mitglied die Pflichtversicherung vertraglich vereinbart.
#

§ 22a
Sondervorschriften für Mitglieder eines Parlaments

( 1 ) Für Pflichtversicherte, die nach § 23 Abs. 2 des Gesetzes über die Rechtsverhältnisse der Mitglieder des Deutschen Bundestages (Abgeordnetengesetz) in der gesetzlichen Rentenversicherung oder in einer berufsständischen Versorgungseinrichtung im Sinne des § 6 Abs. 1 Nr. 1 SGB VI nachversichert worden sind, können für die Kalendermonate ihrer Mitgliedschaft im Deutschen Bundestag, für die bei bestehender Pflichtversicherung Beiträge, Umlagen und Sanierungsgelder nicht entrichtet worden sind, Beiträge, Umlagen und Sanierungsgelder nachentrichtet werden. Für die Ermittlung der Versorgungspunkte sind jeweils die für die nachversicherten Kalenderjahre maßgebenden Altersfaktoren zugrunde zu legen.
( 2 ) Die nachzuentrichtenden Beträge können nur für alle in Absatz 1 genannten Monate in einer Summe eingezahlt werden. Die Nachentrichtung ist ausgeschlossen, wenn der Versicherungsfall eingetreten ist. Bemessungsgrundlage für die nachzuentrichtenden Beträge ist der monatliche Durchschnitt des Entgelts, das im Kalenderjahr vor dem Beginn der Mitgliedschaft im Deutschen Bundestag nach § 62 Abs. 2 zusatzversorgungspflichtig gewesen wäre, dynamisiert entsprechend der allgemeinen Einkommenserhöhung im öffentlichen Dienst. Die nachzuentrichtenden Beträge sind für jedes Kalenderjahr, das auf das Kalenderjahr folgt, für das die Beträge zu entrichten sind, mit jährlich 3,25 v. H. zu verzinsen.
( 3 ) Die Absätze 1 und 2 gelten für ehemalige Mitglieder des Europäischen Parlaments sowie für ehemalige Mitglieder des Parlaments eines Landes, deren Rechte und Pflichten aus dem Arbeitsverhältnis in vollem Umfang geruht haben, entsprechend, wenn das Gesetz über die Rechtsverhältnisse der Mitglieder dieses Parlaments eine Nachversicherung im Sinne des § 23 Abs. 2 des Abgeordnetengesetzes vorsieht. Mitglieder des Parlaments eines Landes, deren Rechte und Pflichten aus dem Arbeitsverhältnis nicht in vollem Umfang ruhen, sind bei der Anwendung der Versorgungsordnung so zu behandeln, als ob ihre Rechte und Pflichten aus dem Arbeitsverhältnis in vollem Umfang ruhten.
#

2. Die freiwillige Versicherung

#

§ 23
Freiwillige Versicherung

Die freiwillige Versicherung wird nicht angeboten.
#

§ 24-26

[aufgehoben]
#

3. Überleitung

#

§ 27
Abschluss von Überleitungsabkommen

( 1 ) Die Kasse kann durch Überleitungsabkommen mit anderen Zusatzversorgungseinrichtungen vereinbaren, dass
  1. Versicherungszeiten bei diesen Einrichtungen für die Erfüllung von Wartezeiten als Versicherungszeiten bei der Kasse gelten,
  2. die bei diesen Einrichtungen erworbenen Versorgungspunkte aus der Pflichtversicherung und Anwartschaften aus der freiwilligen Versicherung nach einem Arbeitgeberwechsel auf die neu zuständige Kasse übertragen werden. Die Übertragung von Versorgungspunkten und Anwartschaften kann bis zum Eintritt des Versorgungsfalles aufgeschoben werden. Versorgungspunkte nehmen an der Überschussverteilung bei der annehmenden Kasse erst ab dem Zeitpunkt teil, zu dem der versicherungsmathematische Barwert berechnet worden ist. Die weiteren Einzelheiten sind in Überleitungsabkommen zu regeln.
Zusatzversorgungseinrichtungen im Sinne von Satz 1 sind die ordentlichen Mitglieder der Arbeitsgemeinschaft kommunale und kirchliche Altersversorgung (AKA) e.V. – Fachvereinigung Zusatzversorgung – und die Versorgungsanstalt des Bundes und der Länder.
( 2 ) Mit zwischenstaatlichen und überstaatlichen Einrichtungen, mit der Versorgungsanstalt der Deutschen Bundespost, der Bahnversicherungsanstalt Abteilung B, der Versorgungsanstalt der deutschen Bühnen und der Versorgungsanstalt der deutschen Kulturorchester kann im Rahmen von Abkommen auf der Grundlage von Gegenseitigkeit vereinbart werden, dass der versicherungsmathematische Barwert der vor dem Arbeitgeberwechsel erworbenen Anwartschaften übertragen wird; bei einer Übertragung an die Kasse wird der Barwert als freiwillige Versicherung entgegengenommen. Für die Anrechnung von Versicherungszeiten auf Wartezeiten gilt Absatz 1 Buchst. a entsprechend.
( 3 ) Von sonstigen Einrichtungen der betrieblichen Altersversorgung kann der versicherungsmathematische Barwert der bisher erworbenen Anwartschaften als freiwillige Versicherung entgegengenommen werden.
#

§ 28
Einzelüberleitungen

( 1 ) Die Überleitung mit Zusatzversorgungseinrichtungen im Sinne von § 27 Abs. 1 findet statt
  1. bei einer/einem Pflichtversicherten, deren/dessen Versicherungspflicht ohne Eintritt des Versicherungsfalles geendet hat, mit dem Zeitpunkt der Begründung der neuerlichen Pflichtversicherung,
  2. bei einer/einem Pflichtversicherten, die/der aus ihrer/seiner früheren Versicherung einen Anspruch auf Betriebsrente besitzt, mit dem Zeitpunkt der Begründung der neuerlichen Pflichtversicherung,
  3. bei einer/einem Pflichtversicherten, die/der gleichzeitig bei einer anderen Zusatzversorgungseinrichtung pflichtversichert ist, wenn die Versicherungspflicht endet,
  4. bei einer/einem Beschäftigten, deren/dessen Beschäftigungsverhältnis bei dem Mitglied nach Erreichung eines die Versicherungspflicht ausschließenden Alters begründet worden und die/der früher bei einer anderen Zusatzversorgungseinrichtung pflichtversichert gewesen ist, mit dem Zeitpunkt der Begründung des neuerlichen Beschäftigungsverhältnisses, wenn durch die Überleitung die Voraussetzungen für die Versicherungspflicht hergestellt werden, und zwar auch dann, wenn die andere Zusatzversorgungseinrichtung eine Betriebsrente gewährt.
Die Überleitung wird nur auf Antrag der/des Versicherten, im Falle des Satzes 1 Buchst. d der/des Beschäftigten, durchgeführt. Die/der Versicherte oder die/der Beschäftigte hat den Antrag bei Eintritt der Voraussetzungen des Satzes 1 unverzüglich zu stellen. Die Einzelheiten sind in Überleitungsabkommen zu regeln; dabei ist der finanzielle Ausgleich der von der Kasse übernommenen Anwartschaften sicherzustellen.
( 2 ) Renten, die eine andere Zusatzversorgungseinrichtung gewährt hat oder gewährt, gelten nach Durchführung der Überleitung als von der Kasse gewährt; insoweit gilt auch der Versicherungsfall, auf dem die Rentenzahlung beruht, als bei der Kasse eingetreten.
#

§ 29
Gruppenüberleitung und Kassenwechsel des Anstellungsträgers

Werden pflichtversicherte Beschäftigte eines Mitglieds an Rechts- oder Aufgabennachfolger abgegeben, die nicht Mitglied der Kasse sind, oder werden sie von einem Mitglied im Wege der Rechts- oder Aufgabennachfolge übernommen, so dürfen Versicherungen dieser Beschäftigten nur abgegeben oder übernommen werden, wenn die Mitglieder und die Versicherten der Kasse wegen der fortbestehenden oder übernommenen Verpflichtungen keine Nachteile erleiden. Satz 1 gilt bei einem Kassenwechsel eines Mitglieds entsprechend.
#

Dritter Teil:
Leistungen aus der Pflichtversicherung

#

Abschnitt I
Betriebsrenten

##

§ 30
Rentenarten

Die Kasse zahlt als Betriebsrenten:
  1. Altersrenten für Versicherte,
  2. Erwerbsminderungsrenten für Versicherte,
  3. Hinterbliebenenrenten für Witwen, Witwer und Waisen der Versicherten.
#

§ 31
Versicherungsfall und Rentenbeginn

Der Versicherungsfall tritt am Ersten des Monats ein, von dem an der Anspruch auf gesetzliche Rente wegen Alters als Vollrente bzw. wegen teilweiser oder voller Erwerbsminderung besteht. Der Anspruch ist durch Bescheid des Trägers der gesetzlichen Rentenversicherung nachzuweisen. Den in der gesetzlichen Rentenversicherung Versicherten, die bei Eintritt des Versicherungsfalles nach Satz 1 die Wartezeit nach § 32 erfüllt haben, wird auf ihren schriftlichen Antrag von der Kasse eine Betriebsrente gezahlt. Die Betriebsrente beginnt – vorbehaltlich des § 39 – mit dem Beginn der Rente aus der gesetzlichen Rentenversicherung.
#

§ 32
Wartezeit

( 1 ) Betriebsrenten werden erst nach Erfüllung der Wartezeit von 60 Kalendermonaten gewährt. Dabei wird jeder Kalendermonat berücksichtigt, für den mindestens für einen Tag Aufwendungen für die Pflichtversicherung nach § 61 Abs. 1 Buchst. a erbracht wurden. Bis zum 31. Dezember 2000 nach dem bisherigen Recht der Zusatzversorgung als Umlagemonate zu berücksichtigende Zeiten zählen für die Erfüllung der Wartezeit. Für die Erfüllung der Wartezeit werden Versicherungszeiten bei Zusatzversorgungseinrichtungen nach § 27 im Rahmen von Überleitungsvereinbarungen zusammengerechnet.
(1a) Auf die Wartezeit nach Abs. 1 werden auch die nach § 16 Abs. 4 und 5 in der bis zum 31.12.2000 geltenden Fassung der Versorgungsordnung berücksichtigten Vordienstzeiten angerechnet.
( 2 ) Die Wartezeit gilt als erfüllt, wenn der Versicherungsfall durch einen Arbeitsunfall eingetreten ist, der im Zusammenhang mit dem die Pflicht zur Versicherung begründenden Beschäftigungsverhältnis steht oder wenn die/der Versicherte infolge eines solchen Arbeitsunfalls gestorben ist. Ob ein Arbeitsunfall vorgelegen hat, ist durch Bescheid des Trägers der gesetzlichen Unfallversicherung nachzuweisen.
( 3 ) In den Fällen des § 7 Abs. 5 des Gesetzes über die Rechtsverhältnisse der Mitglieder des Deutschen Bundestages und entsprechender gesetzlicher Vorschriften werden Zeiten einer nach dem Beginn der Pflichtversicherung liegenden Mitgliedschaft im Deutschen Bundestag, im Europäischen Parlament oder in dem Parlament eines Landes auf die Wartezeit angerechnet.
( 4 ) Soweit die Betriebsrente auf Eigenbeteiligungen der/des Pflichtversicherten beruht, wird auf die Wartezeit jeder Kalendermonat vom Beginn des Beschäftigungsverhältnisses, für das eine Eigenbeteiligung entrichtet worden ist, bis zum Beginn der Betriebsrente angerechnet. Liegen zwischen dem Beschäftigungsbeginn und dem Eintritt des Versicherungsfalls wegen teilweiser oder voller Erwerbsminderung weniger als 60 Kalendermonate, wird eine Erwerbsminderungsrente nicht gewährt. Bei erfüllter Wartezeit von 60 Kalendermonaten erfolgt bei der Erwerbsminderungsrente keine anteilige Gewährung von Zurechnungszeiten gemäß § 35 Abs. 2. Bei Eintritt des Versicherungsfalls der Altersrente ist für die anteilige Betriebsrente nach Satz 1 keine Wartezeit erforderlich. Soweit über § 61 Abs. 2 hinausgehende Eigenbeteiligungen geleistet werden, hat das Mitglied die übersteigenden Leistungen nach den Sätzen 1 bis 4 der Kasse zu erstatten.
#

§ 33
Höhe der Betriebsrente

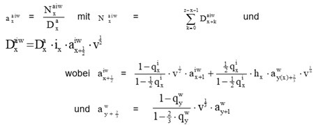
( 1 ) Die monatliche Betriebsrente errechnet sich aus der Summe der bis zum Beginn der Betriebsrente (§ 31 Satz 4) erworbenen Versorgungspunkte (§§ 34, 72 Abs. 1 Satz 2), multipliziert mit dem Messbetrag von vier Euro.
( 2 ) Die Betriebsrente wegen teilweiser Erwerbsminderung beträgt die Hälfte der Betriebsrente, die sich nach Absatz 1 bei voller Erwerbsminderung ergeben würde.
( 3 ) Die Betriebsrente mindert sich für jeden Monat, für den der Zugangsfaktor nach § 77 SGB VI herabgesetzt ist, um 0,3 v.H., höchstens jedoch um insgesamt 10,8 v.H.
#

§ 34
Versorgungspunkte

( 1 ) Versorgungspunkte ergeben sich
  1. für das zusatzversorgungspflichtige Entgelt (§ 62),
  2. (weggefallen)
  3. für soziale Komponenten (§ 35) und
  4. als Bonuspunkte (§ 66).
Die Versorgungspunkte nach Satz 1 Buchst. a und b – mit Ausnahme der Versorgungspunkte, die aus der Altersvorsorgezulage stammen – werden jeweils zum Ende des Kalenderjahres bzw. zum Zeitpunkt der Beendigung des Beschäftigungsverhältnisses festgestellt und dem Versorgungskonto gutgeschrieben; die Feststellung und Gutschrift der Bonuspunkte erfolgt zum Ende des folgenden Kalenderjahres. Versorgungspunkte werden jeweils auf zwei Nachkommastellen gerundet; ist die dritte Nachkommastelle eine 5 bis 9, wird dabei die zweite Nachkommastelle um 1 erhöht, sonst bleibt die zweite Nachkommastelle unverändert.
( 2 ) Die Anzahl der Versorgungspunkte für ein Kalenderjahr nach Absatz 1 Satz 1 Buchst. a ergibt sich aus dem Verhältnis eines Zwölftels des zusatzversorgungspflichtigen Jahresentgelts zum Referenzentgelt von 1.000 Euro, multipliziert mit dem Altersfaktor (Absatz 3). Bei einer vor dem 1. Januar 2003 begonnenen Altersteilzeit auf der Grundlage des Tarifvertrages zur Regelung der Altersteilzeitarbeit, der Regelung für eine Altersteilzeitarbeit oder der Altersteilzeitordnung werden die Versorgungspunkte nach Satz 1 mit dem 1,8-fachen berücksichtigt, soweit sie nicht auf Entgelten beruhen, die in voller Höhe zustehen.
( 3 ) Der Altersfaktor in der Pflichtversicherung beinhaltet eine jährliche Verzinsung von 3,25 v. H. während der Anwartschaftsphase und von 5,25 v. H. während des Rentenbezuges und richtet sich nach der folgenden Tabelle; dabei gilt als Alter die Differenz zwischen dem jeweiligen Kalenderjahr und dem Geburtsjahr:
Alter
Altersfaktor
Alter
Altersfaktor
Alter
Altersfaktor
Alter
Altersfaktor
17
3,1
30
2,0
43
1,4
56
1,0
18
3,0
31
2,0
44
1,3
57
0,9
19
2,9
32
1,9
45
1,3
58
0,9
20
2,8
33
1,9
46
1,3
59
0,9
21
2,7
34
1,8
47
1,2
60
0,9
22
2,6
35
1,7
48
1,2
61
0,9
23
2,5
36
1,7
49
1,2
62
0,8
24
2,4
37
1,6
50
1,1
63
0,8
25
2,4
38
1,6
51
1,1
64 und älter
0,8
26
2,3
39
1,6
52
1,1
27
2,2
40
1,5
53
1,0
28
2,2
41
1,5
54
1,0
29
2,1
42
1,4
55
1,0
#

§ 35
Soziale Komponenten

( 1 ) Für jeden vollen Kalendermonat, in dem das Arbeitsverhältnis wegen einer Elternzeit nach § 15 des Bundeselterngeld- und Elternzeitgesetzes ruht, werden für jedes Kind, für das ein Anspruch auf Elternzeit besteht, die Versorgungspunkte berücksichtigt, die sich bei einem zusatzversorgungspflichtigen Entgelt von 500 Euro in diesem Monat ergeben würden; es werden jedoch höchstens je Kind 36 Kalendermonate berücksichtigt. Bestehen mehrere zusatzversorgungspflichtige Arbeitsverhältnisse im Sinne des Satzes 1, bestimmt der/die Pflichtversicherte, für welches Arbeitsverhältnis die Versorgungspunkte nach Satz 1 berücksichtigt werden. Für die Zeit, in der das Arbeitsverhältnis wegen der Schutzfristen nach § 3 Abs. 2 und § 6 Abs. 1 MuSchG ruht, werden die Versorgungspunkte berücksichtigt, die sich ergeben würden, wenn in dieser Zeit das fiktive Entgelt nach § 21 TVöD oder entsprechenden tarifvertraglichen Regelungen gezahlt worden wäre. Diese Zeiten werden als Umlage-/Beitragsmonate für die Erfüllung der Wartezeiten berücksichtigt.
( 2 ) Bei Eintritt des Versicherungsfalles wegen teilweiser oder voller Erwerbsminderung vor Vollendung des 60. Lebensjahres werden Pflichtversicherten - mit Ausnahme der beitragsfrei Pflichtversicherten - für jeweils zwölf volle, bis zur Vollendung des 60. Lebensjahres fehlende Kalendermonate (Zurechnungszeit) so viele Versorgungspunkte hinzugerechnet, wie dies dem Verhältnis von durchschnittlichem monatlichem zusatzversorgungspflichtigem Entgelt der letzten drei Kalenderjahre vor Eintritt des Versicherungsfalles zum Referenzentgelt entspricht; bei Berechnung des durchschnittlichen Entgelts werden Monate ohne zusatzversorgungspflichtiges Entgelt nicht berücksichtigt. Ist in diesem Zeitraum kein zusatzversorgungspflichtiges Entgelt angefallen, ist für die Berechnung nach Satz 1 das Entgelt zugrunde zu legen, das sich als durchschnittliches monatliches zusatzversorgungspflichtiges Entgelt im Kalenderjahr vor dem Rentenbeginn ergeben hätte.
( 3 ) Bei Beschäftigten, die am 1. Januar 2002 bereits 20 Jahre pflichtversichert sind, werden für jedes volle Kalenderjahr der Pflichtversicherung bis zum 31. Dezember 2001 mindestens 1,84 Versorgungspunkte berücksichtigt. Bei Beschäftigten, deren Gesamtbeschäftigungsquotient am 31. Dezember 2001 kleiner als 1,0 ist, gilt Satz 1 entsprechend mit der Maßgabe, dass der Faktor 1,84 mit dem am 31. Dezember 2001 maßgebenden Gesamtbeschäftigungsquotienten multipliziert wird.
#

§ 36
Betriebsrente für Hinterbliebene

( 1 ) Stirbt eine/ein Versicherte/r, die/der die Wartezeit (§ 32) erfüllt hat, oder eine/ein Betriebsrentenberechtigte/r, hat die hinterbliebene Ehegattin/der hinterbliebene Ehegatte Anspruch auf eine kleine oder große Betriebsrente für Witwen/Witwer, wenn und solange ein Anspruch auf Witwen-/Witwerrente aus der gesetzlichen Rentenversicherung besteht oder bestehen würde, sofern kein Rentensplitting unter Ehegatten durchgeführt worden wäre. Art (kleine/große Betriebsrenten für Witwen/Witwer), Höhe (der nach Ablauf des Sterbevierteljahres maßgebende Rentenartfaktor nach § 67 Nrn. 5 und 6 und § 255 Abs. 1 SGB VI) und Dauer des Anspruchs richten sich – soweit nachstehend keine abweichenden Regelungen getroffen sind – nach den entsprechenden Bestimmungen der gesetzlichen Rentenversicherung. Bemessungsgrundlage der Betriebsrenten für Hinterbliebene ist jeweils die Betriebsrente, die die/der Verstorbene bezogen hat oder hätte beanspruchen können, wenn sie/er im Zeitpunkt ihres/seines Todes wegen voller Erwerbsminderung ausgeschieden wäre. Die Kinder der/des Verstorbenen haben entsprechend den Sätzen 1 bis 3 Anspruch auf Betriebsrente für Voll- oder Halbwaisen; Kinder sind die leiblichen und angenommenen Kinder sowie die Pflegekinder im Sinne des § 32 Abs. 1 Nr. 2 EStG. Als Kinder im Sinne des Satzes 4 gelten nur die Kinder, die nach § 32 Abs. 3, Abs. 4 Satz 1 Nr. 1 bis 3 und Abs. 5 EStG berücksichtigungsfähig sind. Der Anspruch ist durch Bescheid des Trägers der gesetzlichen Rentenversicherung nachzuweisen.
( 2 ) Anspruch auf Betriebsrente für Witwen/Witwer besteht nicht, wenn die Ehe mit der/dem Verstorbenen weniger als zwölf Monate gedauert hat, es sei denn, dass nach den besonderen Umständen des Falles die Annahme nicht gerechtfertigt ist, dass es der alleinige oder überwiegende Zweck der Heirat war, der Witwe/dem Witwer eine Betriebsrente zu verschaffen.
( 3 ) Witwen-/Witwerrente und Waisenrenten dürfen zusammen den Betrag der ihrer Berechnung zugrunde liegenden Betriebsrente nicht übersteigen. Ergeben die Hinterbliebenenrenten in der Summe einen höheren Betrag, werden sie anteilig gekürzt. Erlischt eine der anteilig gekürzten Hinterbliebenenrenten, erhöhen sich die verbleibenden Hinterbliebenenrenten vom Beginn des folgenden Monats entsprechend, jedoch höchstens bis zum vollen Betrag der Betriebsrente der/des Verstorbenen.
( 4 ) Für einen Anspruch auf Betriebsrente für Witwer/Witwen gelten als Heirat auch die Begründung einer Lebenspartnerschaft, als Ehe auch eine Lebenspartnerschaft, als Witwer und Witwe auch ein/e überlebende/r Lebenspartner/in und als Ehegatte auch ein/e Lebenspartner/in jeweils im Sinne des Lebenspartnerschaftsgesetzes.
#

§ 37
Anpassung der Betriebsrenten

Die Betriebsrenten werden jeweils zum 1. Juli – erstmals ab dem Jahr 2002 – um 1 v. H. ihres Betrages erhöht.
#

§ 38
Neuberechnung

( 1 ) Die Betriebsrente ist neu zu berechnen, wenn bei einer/einem Betriebsrentenberechtigten ein neuer Versicherungsfall eintritt und seit dem Beginn der Betriebsrente aufgrund des früheren Versicherungsfalles zusätzliche Versorgungspunkte zu berücksichtigen sind.
( 2 ) Durch die Neuberechnung wird die bisherige Betriebsrente um den Betrag erhöht, der sich als Betriebsrente aufgrund der neu zu berücksichtigenden Versorgungspunkte ergibt; für diese zusätzlichen Versorgungspunkte wird der Abschlagsfaktor nach § 33 Abs. 3 gesondert festgestellt.
( 3 ) Wird aus einer Betriebsrente wegen teilweiser Erwerbsminderung eine Betriebsrente wegen voller Erwerbsminderung oder wegen Alters, wird die bisher nach § 33 Abs. 2 zur Hälfte gezahlte Betriebsrente voll gezahlt. Wird aus einer Betriebsrente wegen voller Erwerbsminderung eine Betriebsrente wegen teilweiser Erwerbsminderung, wird die bisher gezahlte Betriebsrente entsprechend § 33 Abs. 2 zur Hälfte gezahlt. Die Absätze 1 und 2 sind entsprechend anzuwenden, wenn zusätzliche Versorgungspunkte zu berücksichtigen sind.
( 4 ) Bei Neuberechnung der Betriebsrente sind Versorgungspunkte nach § 35 Abs. 2, die aufgrund des früheren Versicherungsfalls berücksichtigt wurden, nur noch insoweit anzurechnen, als sie die zusätzlichen Versorgungspunkte – ohne Bonuspunkte nach § 66 – aus einer Pflichtversicherung übersteigen oder soweit in dem nach § 35 Abs. 2 maßgebenden Zeitraum keine Pflichtversicherung mehr bestanden hat.
( 5 ) Für Hinterbliebene gilt Absatz 3 Sätze 1 und 2 entsprechend.
#

§ 39
Nichtzahlung und Ruhen

( 1 ) Die Betriebsrente wird von dem Zeitpunkt an nicht gezahlt, von dem an die Rente wegen Alters aus der gesetzlichen Rentenversicherung nach § 100 Abs. 3 Satz 1 in Verbindung mit § 34 Abs. 2 SGB VI endet. Die Betriebsrente ist auf Antrag vom Ersten des Monats an wieder zu zahlen, für den der/dem Rentenberechtigten die Rente wegen Alters aus der gesetzlichen Rentenversicherung wieder geleistet wird. Wird die Altersrente der gesetzlichen Rentenversicherung nach Eintritt des Versicherungsfalls (§ 31) als Teilrente gezahlt, wird die Betriebsrente nur in Höhe eines entsprechenden Anteils gezahlt.
( 2 ) Ist der Versicherungsfall wegen voller oder teilweiser Erwerbsminderung eingetreten und wird die Rente aus der gesetzlichen Rentenversicherung wegen Hinzuverdienstes nicht oder nur zu einem Anteil gezahlt, wird auch die Betriebsrente nicht oder nur in Höhe eines entsprechenden Anteils gezahlt.
( 3 ) Die Betriebsrente ruht, solange die Rente aus der gesetzlichen Rentenversicherung ganz oder teilweise versagt wird.
( 4 ) Die Betriebsrente ruht ferner, solange die/der Berechtigte ihren/seinen Wohnsitz oder dauernden Aufenthalt außerhalb eines Mitgliedstaates der Europäischen Union hat und trotz Aufforderung der Kasse keine Empfangsbevollmächtigte/keinen Empfangsbevollmächtigten im Inland bestellt. Die Kasse kann Ausnahmen zulassen.
( 5 ) Die Betriebsrente ruht ferner in Höhe des Betrages des für die Zeit nach dem Beginn der Betriebsrente gezahlten Krankengeldes aus der gesetzlichen Krankenversicherung, soweit dieses nicht nach § 96a Abs. 3 SGB VI auf eine Rente wegen teilweiser Erwerbsminderung anzurechnen oder bei einer Rente wegen voller Erwerbsminderung oder eine Rente wegen Alters als Vollrente dem Träger der Krankenversicherung zu erstatten ist.
( 6 ) Für Hinterbliebene gelten die Vorschriften der gesetzlichen Rentenversicherung über das Zusammentreffen von Rente und Einkommen entsprechend mit folgenden Maßgaben:
  1. Eventuelle Freibeträge sowie das Einkommen, das auf die Rente aus der gesetzlichen Rentenversicherung angerechnet wird, bleiben unberücksichtigt.
  2. Dem/Der Hinterbliebenen werden mindestens 35 v. H. der ihm/ihr nach § 36 zustehenden Betriebsrente gezahlt.
#

§ 40
Erlöschen

( 1 ) Der Anspruch auf Betriebsrente erlischt mit dem Ablauf des Monats,
  1. in dem die/der Betriebsrentenberechtigte gestorben ist oder
  2. für den Rente nach § 43 bzw. § 240 SGB VI letztmals gezahlt worden ist oder
  3. der dem Monat vorangeht, von dessen Beginn an die Zusatzversorgungseinrichtung, zu der die Versicherung übergeleitet worden ist, zur Zahlung der Betriebsrente verpflichtet ist.
( 2 ) Der Anspruch auf Betriebsrente für Witwer/Witwen sowie Lebenspartner/innen im Sinne des Lebenspartnerschaftsgesetzes erlischt im Übrigen mit dem Ablauf des Monats, in dem der Witwer/die Witwe oder der/die hinterbliebene eingetragene Lebenspartner/in geheiratet oder eine Lebenspartnerschaft begründet hat. Für das Wiederaufleben der Betriebsrenten für Witwer/Witwen sowie Lebenspartner/innen im Sinne des Lebenspartnerschaftsgesetzes gilt § 46 Abs. 3 SGB VI entsprechend.
#

§ 41
Abfindungen

( 1 ) Betriebsrenten aus einer Pflichtversicherung, die den Monatsbetrag nach § 3 Abs. 2 BetrAVG nicht überschreiten, können auf Antrag der/des Berechtigten abgefunden werden. Leistungen, die nach Entstehen des Anspruchs auf Betriebsrente gezahlt werden, werden auf den Abfindungsbetrag angerechnet. Wird der Rentenantrag nach Ablauf der Ausschlussfrist des § 52 Abs. 1 Satz 1 gestellt, tritt an die Stelle des Zeitpunkts des Entstehens des Anspruchs der nach dieser Regelung maßgebende Beginn des Zweijahreszeitraums, für den bei einer laufenden Leistung die Betriebsrente nachzuzahlen wäre.
( 2 ) Die Abfindung kann nur innerhalb einer Ausschlussfrist von sechs Monaten nach Zugang der Entscheidung über den Antrag auf Betriebsrente (§ 46 Abs. 1) beantragt werden.
( 3 ) Der Abfindungsbetrag in der Pflichtversicherung wird berechnet, indem die Rente, die der / dem Berechtigten im Zeitpunkt des Entstehens des Anspruchs zustand, mit einem in den nachstehenden Tabellen genannten, dem Lebensalter entsprechenden Faktor vervielfacht wird.
  1. Betriebsrente für Versicherte:
    Alter der/des Berechtigten beim Entstehen des Anspruchs
    Faktor
    Alter der/des Berechtigten beim Entstehen des Anspruchs
    Faktor
    Alter der/des Berechtigten beim Entstehen des Anspruchs
    Faktor
    bis 20
    154
    41
    172
    62
    158
          21
    156
    42
    172
    63
    155
          22
    158
    43
    172
    64
    152
          23
    161
    44
    172
    65
    149
          24
    162
    45
    172
    66
    146
          25
    164
    46
    172
    67
    142
          26
    166
    47
    171
    68
    139
          27
    167
    48
    171
    69
    135
          28
    168
    49
    171
    70
    131
          29
    169
    50
    171
    71
    127
          30
    170
    51
    170
    72
    124
          31
    171
    52
    170
    73
    120
          32
    171
    53
    170
    74
    116
          33
    172
    54
    169
    75
    111
          34
    172
    55
    168
    76
    107
          35
    172
    56
    167
    77
    103
          36
    172
    57
    166
    78
      99
          37
    172
    58
    165
    79
      95
          38
    172
    59
    164
    80
      91
          39
    172
    60
    162
          40
    172
    61
    160
  2. Betriebsrente für Witwen und Witwer:
    Alter der/des Berechtigten beim Entstehen des Anspruchs
    Faktor
    Alter der/des Berechtigten beim Entstehen des Anspruchs
    Faktor
    Alter der/des Berechtigten beim Entstehen des Anspruchs
    Faktor
    20
    215
    51
    168
      82
      70
    21
    215
    52
    165
      83
      67
    22
    214
    53
    163
      84
      63
    23
    213
    54
    161
      85
      60
    24
    212
    55
    158
      86
      57
    25
    211
    56
    155
      87
      55
    26
    210
    57
    153
      88
      52
    27
    209
    58
    150
      89
      50
    28
    208
    59
    147
      90
      47
    29
    207
    60
    145
      91
      45
    30
    206
    61
    142
      92
      43
    31
    204
    62
    139
      93
      41
    32
    203
    63
    136
      94
      39
    33
    201
    64
    133
      95
      37
    34
    200
    65
    130
      96
      35
    35
    198
    66
    127
      97
      33
    36
    197
    67
    123
      98
      31
    37
    195
    68
    120
      99
      30
    38
    193
    69
    116
    100
      28
    39
    192
    70
    113
    101
      27
    40
    190
    71
    109
    102
      25
    41
    188
    72
    106
    103
      24
    42
    186
    73
    102
    104
      23
    43
    184
    74
      98
    105
      22
    44
    183
    75
      95
    106
      21
    45
    181
    76
      91
    107
      20
    46
    179
    77
      87
    108
      19
    47
    177
    78
      84
    109
      18
    48
    174
    79
      80
    110
      17
    49
    172
    80
      77
    50
    170
    81
      73
  3. Betriebsrente für Waisen:
    Alter der/des Berechtigten beim Entstehen des Anspruchs
    Faktor
    Alter der/des Berechtigten beim Entstehen des Anspruchs
    Faktor
    Alter der/des Berechtigten beim Entstehen des Anspruchs
    Faktor
    0
    141
      6
    108
    12
      62
    1
    137
      7
    101
    13
      53
    2
    131
      8
      94
    14
      43
    3
    126
      9
      87
    15
      33
    4
    120
    10
      79
    16
      23
    5
    114
    11
      71
    17 und älter
      12
( 4 ) Mit der Abfindung erlöschen alle Ansprüche und Anwartschaften aus der Versicherung.
( 5 ) Die abgefundene Betriebsrente für Hinterbliebene gilt für die Anwendung des § 36 Abs. 3 nicht als abgefunden.
#

§ 42
Rückzahlung und Beitragserstattung

( 1 ) Ohne Rechtsgrund gezahlte Umlagen und Beiträge werden ohne Zinsen zurückgezahlt.
( 2 ) Die beitragsfrei Pflichtversicherten, die die Wartezeit (§ 32) nicht erfüllt haben, können bis zur Vollendung ihres 69. Lebensjahres die Erstattung der von ihnen getragenen Beiträge beantragen. Der Antrag auf Beitragserstattung gilt für alle von den Versicherten selbst getragenen Beiträge und kann nicht widerrufen werden. Rechte aus der Versicherung für Zeiten, für die Beiträge erstattet werden, erlöschen mit der Antragstellung. Die Beiträge werden ohne Zinsen erstattet.
( 3 ) Sterben Versicherte nach Antragstellung, aber vor Beitragserstattung, gehen die Ansprüche auf die Hinterbliebenen über, die betriebsrentenberechtigt wären, wenn die Wartezeit erfüllt wäre. Mit der Zahlung an einen der Hinterbliebenen erlischt der Anspruch der übrigen Berechtigten gegen die Kasse.
( 4 ) Beiträge im Sinne dieser Vorschrift sind
  1. die für die Zeit vor dem 1. Januar 1978 entrichteten Pflichtbeiträge einschließlich der Beschäftigtenanteile an den Erhöhungsbeträgen,
  2. Beiträge zur freiwilligen Weiterversicherung,
  3. die für die Zeit nach dem 31. Dezember 1977 entrichteten Beschäftigtenanteile an den Erhöhungsbeträgen,
  4. die für die Zeit nach dem 31. Dezember 1998 entsprechend dem Tarifvertrag über die Versorgung der Arbeitnehmer kommunaler Verwaltungen und Betriebe (VersTV-G) in der Fassung vom 31. Dezember 2000 oder dem Tarifvertrag über die zusätzliche Altersvorsorge der Beschäftigten des öffentlichen Dienstes – Altersvorsorge-TV-Kommunal – (ATV-K) entrichteten Eigenbeteiligungen der Beschäftigten an der Umlage, wenn der Beteiligte diesen Tarifvertrag anwenden würde.
#

§ 43
Sonderregelung für Beschäftigte,
die in der gesetzlichen Rentenversicherung nicht versichert sind

Für Beschäftigte, die in der gesetzlichen Rentenversicherung nicht versichert sind oder die die Voraussetzungen für den Bezug einer Rente aus der gesetzlichen Rentenversicherung nicht erfüllen, gelten die §§ 16 bis 42 entsprechend. Soweit auf Regelungen des Rechts der gesetzlichen Rentenversicherung Bezug genommen wird, ist die jeweilige Regelung so entsprechend anzuwenden, wie dies bei unterstellter Versicherung in der gesetzlichen Rentenversicherung der Fall wäre. Bei Anwendung des § 31 sind dabei anstelle der Versicherungszeiten in der gesetzlichen Rentenversicherung die Pflichtversicherungszeiten in der Zusatzversorgung zu berücksichtigen. Für den Beginn der Betriebsrente ist bei entsprechender Anwendung von § 31 Satz 4 in Verbindung mit § 99 SGB VI auf den Zeitpunkt der Antragstellung bei der Kasse abzustellen.Die teilweise oder volle Erwerbsminderung ist durch eine/einen von der Kasse zu bestimmende/n Fachärztin/Facharzt nachzuweisen. Die Kosten der Begutachtung trägt die/der Versicherte. Die Betriebsrente ruht, solange sich die Betriebsrentenberechtigten trotz Verlangens der Kasse innerhalb einer von dieser zu setzenden Frist nicht fachärztlich untersuchen lassen oder das Ergebnis der Untersuchung der Kasse nicht vorlegen. Der Anspruch auf Betriebsrente erlischt mit Ablauf des Monats, der auf den Monat folgt, in dem der/dem Berechtigten die Entscheidung der Kasse über das Erlöschen des Anspruchs wegen Wegfalls der Erwerbsminderung zugegangen ist.
#

§ 44
Eheversorgungsausgleich

( 1 ) Zum Ausgleich der nach dieser Versorgungsordnung erworbenen Anrechte findet die interne Teilung nach dem Versorgungsausgleichsgesetz sowie den nachstehenden Regelungen statt.
( 2 ) Der Ausgleichswert wird in Form von Versorgungspunkten ausgewiesen. Die Höhe des Ausgleichswertes wird ermittelt, indem der hälftige Ehezeitanteil der ausgleichspflichtigen Person anhand ihrer versicherungsmathematischen Barwertfaktoren in einen Kapitalwert umgerechnet und nach Abzug der hälftigen Teilungskosten anhand der versicherungsmathematischen Barwertfaktoren der ausgleichsberechtigten Person in Versorgungspunkte umgerechnet wird. Ist für die ausgleichspflichtige Person ein ausgleichsreifer Rentenanspruch zu berücksichtigen, sind für beide Personen grundsätzlich die Rentenbarwertfaktoren zugrunde zu legen; ansonsten grundsätzlich die Anwartschaftsbarwertfaktoren.
( 3 ) Wird vom Familiengericht für die ausgleichsberechtigte Person ein Anrecht übertragen, erwirbt die ausgleichsberechtigte Person bezogen auf das Ende der Ehezeit ein von einer eigenen Pflichtversicherung unabhängiges Anrecht und gilt diesbezüglich mit folgenden Besonderheiten als beitragsfrei pflichtversichert:
  1. Die Wartezeit nach § 32 gilt als erfüllt.
  2. In den Fällen des § 43 sind die Pflichtversicherungszeiten der ausgleichspflichtigen Person zum Ende der Ehezeit zu berücksichtigen.
  3. Die Zuteilung der Bonuspunkte kommt in Betracht, wenn die ausgleichspflichtige Person zum Ende der Ehezeit eine Wartezeit von 120 Umlage-/Pflichtbeitragsmonate erfüllt hat.
Ist der Versicherungsfall der ausgleichsberechtigten Person vor dem Ende der Ehezeit eingetreten, gilt bezüglich des übertragenen Anrechts der Versicherungsfall zum ersten Tag des Monats nach dem Ende der Ehezeit als eingetreten. Ist der Versorgungsausgleich nach Eintritt des Versicherungsfalls der ausgleichsberechtigten Person wirksam geworden, wird die Betriebsrente aus dem übertragenen Anrecht von dem Kalendermonat an gezahlt, zu dessen Beginn der Versorgungsausgleich wirksam ist; § 38 Abs. 2, 2. Halbsatz gilt entsprechend.
( 4 ) Ist eine Anwartschaft der ausgleichspflichtigen Person auszugleichen, wird diese zum Ende der Ehezeit um die Versorgungspunkte gekürzt, die sich durch Umrechnung des Ausgleichswerts anhand der versicherungsmathematischen Barwertfaktoren der ausgleichsberechtigten Person in einen Kapitalwert und unter Berücksichtigung der Teilungskosten anhand der versicherungsmathematischen Barwertfaktoren der ausgleichspflichtigen Person ergeben. Bestand zum Ende der Ehezeit ein nicht ausgleichsreifer Rentenanspruch, gilt bezüglich der zu kürzenden Betriebsrente der Versicherungsfall zum ersten Tag des Monats nach dem Ende der Ehezeit als eingetreten; dabei wird der Abschlagsfaktor nach § 33 Abs. 3 gesondert festgestellt. Ist ein Anspruch der ausgleichspflichtigen Person auszugleichen, wird dieser zum Ende der Ehezeit um den Rentenbetrag gekürzt, der sich entsprechend Satz 1 ergibt. Absatz 2 Satz 3 ist anzuwenden. Ist der Versorgungsausgleich nach Beginn der Rente der ausgleichspflichtigen Person wirksam geworden, wird die Betriebsrente von dem Kalendermonat an vermindert, zu dessen Beginn der Versorgungsausgleich wirksam ist.
( 5 ) Soweit der Versorgungsausgleich nach dem analogen Quasisplitting durchgeführt wurde, berechnet sich der Kürzungsbetrag, indem der Begründungsbetrag der familiengerichtlichen Entscheidung durch den aktuellen Rentenwert zum gesetzlichen Ehezeitende dividiert und mit dem aktuellen Rentenwert zum Rentenbeginn vervielfacht wird. Dieser Kürzungsbetrag wird entsprechend der Entwicklung des aktuellen Rentenwerts angepasst. Wurde im familiengerichtlichen Urteil in Entgeltpunkte (Ost) tenoriert, ist der entsprechende aktuelle Rentenwert (Ost) zu verwenden. In den Fällen mit einem Rentenbeginn vor dem 1. Februar 2018 erfolgt die Berechnung des Kürzungsbetrags nach den Sätzen 1 bis 3 nur auf Antrag der oder des Betriebsrentenberechtigten. Bei einer Abfindung errechnet sich der Abfindungsbetrag aus dem unter Berücksichtigung des durchgeführten Versorgungsausgleichs gekürzten Betrags der Betriebsrente. Dies gilt auch dann, wenn die Betriebsrente vor der Abfindung noch ungekürzt zu zahlen war.
#

Abschnitt II
Verfahrensvorschriften

##

§ 45
Leistungsantrag

( 1 ) Die Kasse erbringt Leistungen nur auf schriftlichen Antrag. Dem Antrag sind die von der Kasse geforderten Unterlagen beizufügen. Der Antrag ist bei Pflichtversicherten über das Mitglied einzureichen, bei dem die/der Pflichtversicherte zuletzt in dem versicherungspflichtigen Beschäftigungsverhältnis gestanden hat.
( 2 ) Ist die/der Berechtigte verstorben, ohne den Antrag bei der Kasse gestellt zu haben, so kann der Antrag nur nachgeholt werden, wenn der/dem Verstorbenen ein Anspruch auf Gewährung einer Rente aus der gesetzlichen Rentenversicherung zugestanden und sie/er den Antrag auf Gewährung dieser Rente gestellt hat. Das Recht, den Antrag nachzuholen, steht nur dem überlebenden Ehegatten sowie den Abkömmlingen zu.
#

§ 46
Entscheidung, Streitigkeiten über Entscheidungen und Gerichtsstand

( 1 ) Die Kasse entscheidet schriftlich über den Antrag. Wird eine Leistung erbracht, so sind ihre Höhe, die Art der Berechnung und ihr Beginn anzugeben. Wird eine Leistung abgelehnt oder die Zahlung einer Betriebsrente eingestellt, so ist dies zu begründen.
( 2 ) Stellt sich nachträglich heraus, dass die Entscheidung auf unrichtigen Voraussetzungen beruht, so kann die Kasse die unrichtige Entscheidung aufheben und eine neue Entscheidung treffen.
( 3 ) Gegen Entscheidungen der Kasse kann innerhalb einer Frist von einem Monat nach Zustellung Einspruch eingelegt werden. Er ist bei der Geschäftsstelle der Kasse schriftlich oder zur Niederschrift zu erheben und bedarf der Begründung. Hilft die Geschäftsstelle dem Einspruch nicht ab, entscheidet der Verwaltungsrat über den Einspruch. Gegen Entscheidungen des Verwaltungsrates kann innerhalb einer Frist von einem Monat nach Zustellung unbeschadet der Zuständigkeit der ordentlichen Gerichte das Landeskirchenamt angerufen werden.
( 4 ) Ansprüche aus der Pflichtversicherung können gegen die Kasse bei dem für deren Sitz zuständigen Gericht geltend gemacht werden. Gerichtsstand ist der Sitz des Landeskirchenamtes in Hannover.
( 5 ) Falls der/die Versicherte oder Betriebsrentenberechtigte nach Beginn der Pflichtversicherung seinen/ihren Wohnsitz oder gewöhnlichen Aufenthalt nach außerhalb der Bundesrepublik Deutschland verlegt oder der Wohnsitz oder gewöhnliche Aufenthalt im Zeitpunkt der Klageerhebung nicht bekannt ist, ist für Klagen aus dem Versicherungsvertrag ausschließlich der Gerichtsstand der Kasse zuständig.
#

§ 46a
Streitigkeiten zwischen Kasse und Mitglied

( 1 ) Über Rechte und Pflichten aus dem Mitgliedsverhältnis entscheidet die Kasse. Die Entscheidung ist schriftlich zu erteilen.
( 2 ) Gegen die Entscheidung der Kasse kann innerhalb eines Monats nach Zustellung Einspruch eingelegt werden. Der Einspruch ist zu begründen. Hilft die Geschäftsstelle dem Einspruch nicht ab, entscheidet der Verwaltungsrat der Kasse über den Einspruch. Absatz 1 Satz 2 gilt entsprechend.
( 3 ) Gegen Entscheidungen des Verwaltungsrates kann innerhalb eines Monats nach Zustellung unbeschadet der Zuständigkeit der ordentlichen Gerichte das Landeskirchenamt angerufen werden. § 13 Absatz 8 gilt entsprechend.
( 4 ) Wird durch die Entscheidung des Verwaltungsrates eine Leistungsverpflichtung des Mitglieds gegenüber der Kasse festgestellt und wird diese Leistung nicht innerhalb eines Monats nach Zustellung bewirkt, so ist die Kasse oder das Landeskirchenamt in Hannover zu deren Durchsetzung berechtigt, Klage beim ordentlichen Gericht zu erheben.
#

§ 47
Auszahlung

( 1 ) Die Betriebsrenten werden monatlich im Voraus auf ein Girokonto der Betriebsrentenberechtigten innerhalb eines Mitgliedstaates des Europäischen Wirtschaftsraums überwiesen. Die Kosten der Überweisung, mit Ausnahme der Kosten für die Gutschrift, trägt die Kasse; für Überweisungen auf ein Konto außerhalb Deutschlands gilt dies nur, wenn diese im Rahmen einer SEPA-Überweisung erfolgen kann; hierzu teilt die/der Betriebsrentenberechtigte der Kasse ihre/seine internationale Kontonummer (International Bank Account Number – IBAN) sowie die internationale Bankleitzahl des kontoführenden Geldinstituts (Bank Identifer Code – BIC) mit. Besteht der Betriebsrentenanspruch nicht für einen vollen Kalendermonat, wird der Teil gezahlt, der auf den Anspruchszeitraum entfällt.
( 2 ) Stirbt eine/ein Betriebsrentenberechtigte/r, die/der den Leistungsantrag gestellt hat, vor der Auszahlung, so können nur der überlebende Ehegatte oder die Abkömmlinge die Auszahlung verlangen. Wer den Tod der/des Betriebsrentenberechtigten vorsätzlich herbeigeführt hat, hat keinen Anspruch nach Satz 1. Die Zahlung an einen Hinterbliebenen bringt den Anspruch der übrigen Berechtigten gegen die Kasse zum Erlöschen.
( 3 ) Hat die/der Betriebsrentenberechtigte ihren/seinen Wohnsitz oder dauernden Aufenthalt außerhalb eines Mitgliedstaates des Europäischen Wirtschaftsraums, kann die Kasse die Zahlung der Betriebsrente davon abhängig machen, dass die/der Betriebsrentenberechtigte einen Empfangsbevollmächtigten im Inland benennt oder die/der Betriebsrentenberechtigte die Auszahlung der Betriebsrente auf ein auf ihren/seinen Namen lautendes Konto im Inland ermöglicht. Ferner ist die Kasse berechtigt, die Leistungen für das laufende Kalenderjahr in einem Betrag im Dezember auszuzahlen. Rentenzahlungen außerhalb des Europäischen Wirtschaftsraums erfolgen auf Kosten und Gefahr der/des Betriebsrentenberechtigten.
( 4 ) Überzahlungen können von der Kasse mit künftigen Leistungen verrechnet werden.
#

§ 48
Pflichten der Versicherten und Betriebsrentenberechtigten

( 1 ) Versicherte und Betriebsrentenberechtigte sind verpflichtet, der Kasse eine Verlegung ihres Wohnsitzes oder dauernden Aufenthalts sowie jede Änderung von Verhältnissen, die ihren Anspruch dem Grunde oder der Höhe nach berühren können, unverzüglich in Textform mitzuteilen. Insbesondere sind mitzuteilen
  1. von allen Betriebsrentenberechtigten
    1. die Versagung der Rente aus der gesetzlichen Rentenversicherung,
    2. die Beendigung der Rentenzahlung aus der gesetzlichen Rentenversicherung,
    3. der Bezug von Arbeitsentgelt, Arbeitseinkommen, Mutterschaftsgeld, Übergangsgeld, Kurzarbeitergeld, Winterausfallgeld, Arbeitslosengeld, Insolvenzgeld, Krankengeld, Versorgungskrankengeld, Unterhaltsgeld und Verletztengeld,
    4. der Bezug einer Teilrente,
    5. die Änderung der Rentenart in der gesetzlichen Rentenversicherung,
sowie
2.
bei Betriebsrenten aus eigener Versicherung
der Wegfall der Berufsunfähigkeit oder der Erwerbsminderung und die Änderung von voller in teilweise oder von teilweiser in volle Erwerbsminderung und die Änderung der Höhe der Rente aus der gesetzlichen Rentenversicherung wegen Hinzuverdienstes,
3.
bei Betriebsrenten für Witwen/Witwer sowie Lebenspartner/innen im Sinne des Lebenspartnerschaftsgesetzes
  1. eine Eheschließung oder eine Begründung einer Lebenspartnerschaft im Sinne des Lebenspartnerschaftsgesetzes,
  2. den Bezug von Alters- oder Erwerbsminderungsrenten aus eigener Versicherung, Ruhegehalt oder vergleichbare Dienstbezüge aus einem öffentlich-rechtlichen Dienstverhältnis, Rentenleistungen berufsständischer Versorgungseinrichtungen,
4.
bei Betriebsrenten für Waisen
das Ende der Schul- oder Berufsausbildung oder eines freiwilligen sozialen Jahres oder der Wegfall der Unterhaltsbedürftigkeit, wenn das 18. Lebensjahr vollendet ist.
( 2 ) Versicherte und Betriebsrentenberechtigte sind ferner verpflichtet, innerhalb einer von der Kasse zu setzenden Frist auf Anforderung Auskünfte zu erteilen sowie die erforderlichen Nachweise und Lebensbescheinigungen vorzulegen.
( 3 ) Die Kasse kann die Betriebsrente zurückbehalten, solange die/der Betriebsrentenberechtigte ihren/seinen Verpflichtungen nach den Absätzen 1 und 2 oder ihrer/seiner Verpflichtung, die Überleitung der Versicherung auf die Kasse zu beantragen, nicht nachkommt.
( 4 ) Verletzen Versicherte oder Betriebsrentenberechtigte ihre Pflichten nach dieser Vorschrift, können sie sich nicht auf den Wegfall der Bereicherung berufen.
#

§ 49
Abtretung von Ersatzansprüchen

Steht der/dem Versicherten, der/dem Betriebsrentenberechtigten oder einer/einem anspruchsberechtigten Hinterbliebenen aus einem Ereignis, das die Kasse zur Gewährung oder Erhöhung von Leistungen verpflichtet, ein Schadenersatzanspruch gegen einen Dritten zu, so haben die anspruchsberechtigten Personen ihre Ansprüche gegen den Dritten bis zur Höhe des Brutto-Betrags der Betriebsrente an die Kasse abzutreten. Der Übergang kann nicht zum Nachteil der anspruchsberechtigten Personen geltend gemacht werden. Verweigern die anspruchsberechtigten Personen die Abtretung oder die Beibringung der erforderlichen Unterlagen, so ist die Kasse zu einer Leistung nicht verpflichtet.
#

§ 50
Abtretung und Verpfändung

Ansprüche auf Kassenleistungen können nicht abgetreten, verpfändet oder beliehen werden. Dies gilt nicht für Ansprüche aus der Pflichtversicherung, die an einen Anstellungsträger, der die/den Anspruchsberechtigte/n zur Pflichtversicherung in der Zusatzversorgung angemeldet hat, oder an eine andere Zusatzversorgungseinrichtung im Sinne von § 27 Abs. 1 abgetreten werden. Die Abtretungserklärung ist der Kasse mit der Abmeldung oder mit dem Antrag zu übersenden.
#

§ 51
Versicherungsnachweise

( 1 ) Pflichtversicherte erhalten jeweils nach Ablauf des Kalenderjahres bzw. bei Beendigung der Pflichtversicherung einen Nachweis über ihre bisher insgesamt erworbene Anwartschaft auf Betriebsrente wegen Alters nach § 33. Dabei werden neben der Anwartschaft auch die Zahl der Versorgungspunkte und der Messbetrag angegeben. Zusätzlich sind die steuerrechtlich vorgeschriebenen Angaben enthalten. Der Nachweis wird – soweit einschlägig – mit einem Hinweis auf die Ausschlussfristen nach den Absätzen 2 und 3 versehen. Wird der Nachweis im Zusammenhang mit der Beendigung der Pflichtversicherung erbracht, wird er um den Hinweis ergänzt, dass die aufgrund der Pflichtversicherung erworbene Anwartschaft bis zum erneuten Beginn der Pflichtversicherung bzw. bis zum Eintritt des Versicherungsfalles nicht dynamisiert wird, wenn die Wartezeit von 120 Umlage-/Beitragsmonaten (§ 66 Abs. 3) nicht erfüllt ist.
( 2 ) Die Beschäftigten können nur innerhalb einer Ausschlussfrist von sechs Monaten nach Zugang des Nachweises gegenüber dem Mitglied schriftlich beanstanden, dass die von diesem zu entrichtenden Beiträge oder die zu meldenden Entgelte nicht oder nicht vollständig an die Kasse abgeführt oder gemeldet worden sind.
( 3 ) Beanstandungen in Bezug auf die ausgewiesenen Bonuspunkte sind innerhalb einer Ausschlussfrist von sechs Monaten nach Zugang des Nachweises schriftlich unmittelbar gegenüber der Kasse zu erheben.
( 4 ) Nach Ablauf der Ausschlussfrist können keine Ansprüche mehr geltend gemacht werden.
#

§ 52
Ausschlussfristen

( 1 ) Der Anspruch auf Betriebsrente für einen Zeitraum, der mehr als zwei Jahre vor dem Ersten des Monats liegt, in dem der Antrag bei der Kasse eingegangen ist, kann nicht mehr geltend gemacht werden (Ausschlussfrist). Dem Antrag steht eine Mitteilung der/des Berechtigten gleich, die zu einem höheren Anspruch führt.
( 2 ) Die Beanstandung, die mitgeteilte laufende monatliche Betriebsrente, eine Rentennachzahlung, eine Abfindung, eine Beitragserstattung oder eine Rückzahlung sei nicht oder nicht in der mitgeteilten Höhe ausgezahlt worden, ist nur schriftlich und innerhalb einer Ausschlussfrist von einem Jahr zulässig; die Frist beginnt bei laufenden Betriebsrenten mit dem Ersten des Monats, für den die Betriebsrente zu zahlen ist, im Übrigen mit dem Zugang der Mitteilung über die entsprechende Leistung.
( 3 ) Auf die Ausschlussfrist wird in der Mitteilung über die Leistung bzw. den Nachweis hingewiesen.
#

Vierter Teil:
Finanzierung und Rechnungswesen

#

Abschnitt I
Allgemeines

##

§ 53
Kassenvermögen

( 1 ) Das Kassenvermögen dient ausschließlich zur Deckung der satzungsmäßigen Leistungen und der Verwaltungskosten der Kasse.
( 2 ) Die Mittel der Kasse werden
  1. in der Pflichtversicherung
    durch Pflichtbeiträge, Sanierungsgelder und zusätzliche Beiträge,
  2. in der freiwilligen Versicherung
    durch freiwillige Beiträge einschließlich der Altersvorsorgezulagen
sowie durch Vermögenserträge und sonstige Einnahmen aufgebracht.
( 3 ) Für die Bewertung des Kassenvermögens gelten die Bewertungsvorschriften des Handelsgesetzbuches entsprechend. Die Kasse hat nach Ablauf eines jeden Geschäftsjahres einen Jahresabschluss über die Aufwendungen und Erträge sowie über das Vermögen (Gewinn- und Verlustrechnung, Bilanz) aufzustellen.
#

§ 54
Vermögensanlage

Das Kassenvermögen ist, soweit es nicht für Ausgaben benötigt wird, nach den Anlagegrundsätzen des § 124 des Gesetzes über die Beaufsichtigung der Versicherungsunternehmen (Versicherungsaufsichtsgesetz – VAG) und der Anlageverordnung gemäß § 235 Abs. 1 Nr. 10 VAG anzulegen. Dabei ist das Kassenvermögen unter Wahrung ausreichender Sicherheit so anzulegen, dass ein angemessener Ertrag gewährleistet ist. Im Interesse der Sicherheit ist eine Mischung der Vermögensanlage anzustreben.
#

§ 55
Getrennte Verwaltung

( 1 ) Innerhalb des Kassenvermögens werden drei getrennte Abrechnungsverbände geführt, und zwar
  1. für Anwartschaften und Ansprüche, die auf nach dem 31. Dezember 2001 entrichteten Pflichtbeiträgen beruhen (Abrechnungsverband P),
  2. für Anwartschaften und Ansprüche, die auf nach dem 31. Dezember 2001 entrichteten freiwilligen Beiträgen beruhen (Abrechnungsverband F), und
  3. für alle übrigen Anwartschaften und Ansprüche (Abrechnungsverband S),
für die eigene versicherungstechnische Bilanzen erstellt werden. Diese sind vom verantwortlichen Aktuar zu testieren.
( 2 ) Für jeden Abrechnungsverband werden Einnahmen und Ausgaben einschließlich der Kapitalanlagen gesondert verwaltet. Dabei werden Teilvermögen gebildet und die Überschüsse für jeden Abrechnungsverband gesondert ermittelt.
#

§ 56
Versicherungstechnische Deckungsrückstellungen

( 1 ) Für die Abrechnungsverbände nach § 55 Abs. 1 wird in der Bilanz jeweils eine eigene Deckungsrückstellung in Höhe des versicherungsmathematischen Barwerts aller am Bilanzstichtag bestehenden Anwartschaften und Ansprüche in die Bilanz eingestellt.
( 2 ) Für die Pflichtversicherung (Abrechnungsverband P) ist eine Rückstellung in Höhe von mindestens 100 v.H. der Summe aus dem versicherungsmathematischen Barwert aller am Bilanzstichtag bestehenden Anwartschaften und Ansprüche und der Verwaltungskostenrückstellung zu bilden, ermittelt mit dem Rechnungszins gemäß § 34 Abs. 3 und den biometrischen Rechnungsgrundlagen der Heubeck-Richttafeln 2018 G modifiziert (Kapitaldeckungsgrad AV P).
( 3 ) Für die Pflichtversicherung (Abrechnungsverband S) ist eine Rückstellung in Höhe von mindestens 100 v.H. der Summe aus dem versicherungsmathematischen Barwert, ermittelt mit dem Rechnungszins gemäß § 34 Abs. 3 und den biometrischen Rechnungsgrundlagen der Heubeck-Richttafeln 2018 G modifiziert, aller am Bilanzstichtag bestehenden Anwartschaften und Ansprüche und der Verwaltungskostenrückstellung zu bilden (Kapitaldeckungsgrad AV S). Das Teilvermögen (§ 55 Abs. 1 Buchst. c i.V.m. Abs. 2 Satz 2) sowie die Rückstellung gehen in der Deckungsrückstellung des AV P auf, sobald 100 v.H. Kapitaldeckungsgrad im AV S erreicht sind.
( 4 ) Der für die Ermittlung zu berücksichtigende Rechnungszins für die über Absatz 2 hinausgehenden Rückstellungen (vgl. auch Ausführungsbestimmungen zu § 56; die als Teil des Anhangs einen Bestandteil der Versorgungsordnung bilden), die biometrischen Grundlagen und die Verwaltungskosten werden im Rahmen des versicherungstechnischen Geschäftsplans in allen Einzelheiten festgelegt (vgl. auch Ausführungsbestimmungen zu §§ 15 ff., die als Teil des Anhangs einen Bestandteil der Versorgungsordnung bilden). Die dauernde Erfüllbarkeit der Verpflichtungen aus den Versicherungsverhältnissen ist sicherzustellen.
#

§ 57
Verlustrücklage

Zur Deckung von Fehlbeträgen ist eine Verlustrücklage für jeden Abrechnungsverband zu bilden. Der Verlustrücklage sind jährlich mindestens 5 v. H. des sich aus der versicherungstechnischen Bilanz ergebenden Überschusses zuzuführen, bis diese einen Stand von 10 v. H. der Deckungsrückstellung erreicht oder nach Inanspruchnahme wieder erreicht.
#

§ 58
Rückstellung für Leistungsverbesserung

( 1 ) Der Überschuss, der sich entsprechend dem versicherungstechnischen Geschäftsplan ergibt, wird getrennt nach Abrechnungsverbänden in die Rückstellung für Leistungsverbesserung eingestellt, soweit er nicht zur Bildung weiterer geschäftsplanmäßig festgelegter Rückstellungen benötigt wird.
( 2 ) Diese Rückstellung dient der Verbesserung oder Erhöhung von Leistungen. Sie kann zusätzlich zur Deckung von Fehlbeträgen herangezogen werden, wenn die Verlustrücklage nicht ausreicht.
( 3 ) Der Verwaltungsrat beschließt auf Vorschlag des Verantwortlichen Aktuars über Art, Umfang und Zeitpunkt der Zuteilung von Bonuspunkten. Die dauernde Erfüllbarkeit der zugesagten Leistung ist dabei vorrangig zu berücksichtigen.
#

§ 59
Vermeidung und Deckung von Fehlbeträgen

( 1 ) Soweit sich in einem Abrechnungsverband (§ 55 Abs. 1) ein nicht durch Eigenkapital gedeckter Fehlbetrag (§ 268 HGB) ergibt, besteht ein Fehlbetrag, der auch gleichbedeutend mit einer Unterschreitung des Kapitaldeckungsgrads von 100 v.H. ist.
( 2 ) Zur Deckung oder Vermeidung eines Fehlbetrags gemäß Absatz 1 und § 56 Abs. 2 und 3 (Unterschreitung Kapitaldeckungsgrad 100 v.H.), der auch nach Inanspruchnahme der Verlustrücklage und der Rückstellung für künftige Leistungsverbesserungen nicht ausgeglichen werden kann, kann die Kasse
  1. im Abrechnungsverband P eine Beitragserhöhung vornehmen und
  2. im Abrechnungsverband S Sanierungsgelder erheben, bis der Kapitaldeckungsgrad von 100 v.H. wieder erreicht ist.
( 3 ) Die Maßnahmen nach Absatz 2 werden auf Vorschlag des Verantwortlichen Aktuars vom Verwaltungsrat gemäß § 6 Buchst. g beschlossen. Bei seinen Vorschlägen berücksichtigt der Aktuar weitere Maßnahmen zur Sicherung der dauernden Erfüllbarkeit der zugesagten Leistungen, für die entsprechend dem versicherungstechnischen Geschäftsplan weitere Rückstellungen zu bilden sind.
#

Abschnitt II
Pflichtversicherung

##

§ 60

[unbesetzt]
#

§ 61
Aufwendungen für die Pflichtversicherung

( 1 ) Das Mitglied ist Schuldner der
  1. Pflichtbeiträge (§ 62 Abs. 1),
  2. Sanierungsgelder (§ 63),
  3. zusätzlichen Beiträge (§ 53 Abs. 2),
einschließlich einer tarif- oder arbeitsvertraglich vereinbarten Eigenbeteiligung der/des Pflichtversicherten.
( 2 ) Der Pflichtbeitrag nach Abs. 1 Buchst. a kann durch das Mitglied auf der Grundlage einer arbeitsrechtlichen Regelung, für Beitragsteile die über 4 v. H. liegen, im Rahmen einer Eigenbeteiligung der/des Pflichtversicherten an die Kasse geleistet werden. Für Eigenbeteiligungen nach Satz 1 gilt § 32 Abs. 4.
( 3 ) Der Anspruch der/des Beschäftigten nach § 1 Abs. 2 Nr. 4 2. Halbsatz i. V. m. § 1a Abs. 3 BetrAVG zu verlangen, dass die Voraussetzungen für eine Förderung der Eigenbeteiligung nach den §§ 10a und 82 Abs. 2 EStG erfüllt werden, ist für die Pflichtversicherung ausgeschlossen.
#

§ 62
Pflichtbeiträge

( 1 ) Der Pflichtbeitrag ist in Höhe des Vomhundertsatzes des zusatzversorgungspflichtigen Entgeltes (Absatz 2) zu zahlen, der gemäß § 6 Buchst. g festgesetzt wurde.
( 2 ) Zusatzversorgungspflichtiges Entgelt ist, soweit nachstehend nichts anderes bestimmt ist, der steuerpflichtige Arbeitslohn. Kein zusatzversorgungspflichtiges Entgelt sind
  1. Bestandteile des Arbeitsentgelts, die auf einer Verweisung auf beamtenrechtliche Vorschriften beruhen, soweit die beamtenrechtlichen Bezüge nicht ruhegehaltfähig sind, sowie Bestandteile des Arbeitsentgelts, die durch kirchliche Arbeitsrechtsregelungen, Dienstvereinbarungen, Tarifvertrag auf Bundes-, Landes- oder landesbezirklicher Ebene ausdrücklich als nicht zusatzversorgungspflichtig bezeichnet sind sowie über- und außertarifliche Bestandteile des Arbeitsentgelts, soweit sie durch kirchliche Arbeitsrechtsregelungen, Dienstvereinbarung, Betriebsvereinbarung oder Arbeitsvertrag ausdrücklich als nicht zusatzversorgungspflichtig bezeichnet sind,
  2. Aufwendungen des Arbeitgebers für eine Zukunftssicherung der Beschäftigten,
  3. Krankengeldzuschüsse,
  4. einmalige Zahlungen (z. B. Zuwendungen, Urlaubsabgeltungen), die aus Anlass der Beendigung, des Eintritts des Ruhens oder nach Beendigung des Arbeitsverhältnisses gezahlt werden, mit Ausnahme der Teilzuwendung, die der/dem Beschäftigten gezahlt wird, der mit Billigung des Mitglieds zu einem anderen Mitglied der Kasse oder einem Mitglied einer anderen Zusatzversorgungseinrichtung im Sinne von § 27 Abs. 1 übergetreten ist,
  5. einmalige Zahlungen (z. B. Zuwendungen) insoweit, als bei ihrer Berechnung Zeiten berücksichtigt sind, für die keine Beiträge für laufendes zusatzversorgungspflichtiges Entgelt zu entrichten sind,
  6. vermögenswirksame Leistungen, Jubiläumsgelder,
  7. Sachbezüge, die während eines Zeitraumes gewährt werden, für den kein laufendes zusatzversorgungspflichtiges Entgelt zusteht,
  8. geldwerte Vorteile, die steuerlich als Arbeitslohn gelten,
  9. geldwerte Nebenleistungen, wie Ersatz von Werbungskosten (z. B. Aufwendungen für Werkzeuge, Berufskleidung, Fortbildung) sowie Zuschüsse z. B. zu Fahr-, Heizungs-, Wohnungs-, Essens- und Kontoführungskosten,
  10. Mietbeiträge an Beschäftigte mit Anspruch auf Trennungsgeld (Trennungsgeldentschädigung),
  11. Schulbeihilfen,
  12. einmalige Zuwendungen anlässlich des Erwerbs eines Diploms einer Verwaltungs- oder Wirtschaftsakademie,
  13. Prämien im Rahmen des behördlichen oder betrieblichen Vorschlagwesens,
  14. Erfindervergütungen,
  15. Kassenverlustentschädigungen (Mankogelder, Fehlgeldentschädigungen),
  16. Einkünfte, die aus ärztlichen Liquidationserlösen zufließen,
  17. einmalige Unfallentschädigungen,
  18. Aufwandsentschädigungen; reisekostenähnliche Entschädigungen; Entgelte aus Nebentätigkeiten; Tantiemen, Provisionen, Abschlussprämien und entsprechende Leistungen; einmalige und sonstige nicht laufend monatlich gezahlte über- und außertarifliche Leistungen,
  19. Zuschläge für Sonntags-, Feiertags- und Nachtarbeit.
Kein zusatzversorgungspflichtiges Entgelt ist ferner der Teil des steuerpflichtigen Arbeitsentgelts, der nach Anwendung des Satzes 1 den 2,5-fachen Wert der monatlichen Beitragsbemessungsgrenze in der gesetzlichen Rentenversicherung (West oder Ost) übersteigt; wenn eine zusatzversorgungspflichtige Jahressonderzahlung gezahlt wird, ist der vorgenannte Wert jährlich einmal im Monat der Zahlung der Jahressonderzahlung zu verdoppeln. Als zusatzversorgungspflichtiges Entgelt gilt für Kalendermonate, in denen Beschäftigte für mindestens einen Tag Anspruch auf Krankengeldzuschuss haben – auch wenn dieser wegen der Höhe der Barleistungen des Sozialversicherungsträgers nicht gezahlt wird –, das fiktive Entgelt nach § 21 TVöD oder entsprechenden tarifvertraglichen Regelungen, das für die Tage, für die tatsächlich Anspruch auf Entgelt, Entgeltfortzahlung oder Krankengeldzuschuss bestand, im Falle eines entsprechenden Entgeltfortzahlungsanspruchs gezahlt worden wäre. In diesen Kalendermonaten geleistete einmalige Zahlungen sind neben dem fiktiven Entgelt nach § 21 TVöD oder entsprechenden tarifvertraglichen Regelungen nach Maßgabe der Sätze 2 und 3 zusatzversorgungspflichtiges Entgelt. Für Beschäftigte, die zur Übernahme von Aufgaben der Entwicklungshilfe im Sinne des § 1 Entwicklungshelfergesetz vom 18. Juni 1969 in der jeweils geltenden Fassung ohne Arbeitsentgelt beurlaubt sind, hat das Mitglied für die Zeit der Beurlaubung Pflichtbeiträge, zusätzliche Beiträge und Sanierungsgelder an die Kasse abzuführen, wenn der Träger der Entwicklungshilfe die Pflichtbeiträge, zusätzlichen Beiträge und Sanierungsgelder erstattet. Für die Bemessung der Pflichtbeiträge, zusätzlichen Beiträge und Sanierungsgelder gilt als zusatzversorgungspflichtiges Entgelt das Entgelt, von dem nach § 166 Abs. 1 Nr. 4 SGB VI die Beiträge für die gesetzliche Rentenversicherung zu berechnen sind. Verminderungen des steuerpflichtigen Entgelts aufgrund einer Entgeltumwandlung gelten als steuerpflichtiger Arbeitslohn.
( 3 ) Wird Altersteilzeit nach dem 31. Dezember 2002 begonnen, ist – unter Berücksichtigung des Absatzes 2 Satz 1 – zusatzversorgungspflichtiges Entgelt während des Altersteilzeitarbeitsverhältnisses das 1,8fache der zur Hälfte zustehenden Bezüge nach § 4 des Tarifvertrages zur Regelung der Altersteilzeitarbeit (TV ATZ), nach § 7 des Tarifvertrages zu flexiblen Arbeitszeitregelungen für ältere Beschäftigte (TV Flex AZ) oder nach einem vergleichbaren Tarifvertrag zuzüglich derjenigen Bezüge, die in voller Höhe zustehen. Wird ein Beitrag an die gesetzliche Rentenversicherung gezahlt, der den Mindestbeitrag nach § 3 Abs. 1 Nr. 1 Buchst. b des Altersteilzeitgesetzes übersteigt, ist das zusatzversorgungspflichtige Entgelt entsprechend zu erhöhen.
( 4 ) Für Mitglieder der Kasse, die sich nachweislich in einer wirtschaftlichen Notlage befinden, kann für die Pflichtversicherung geregelt werden, dass für die Zusage von Leistungen für die Dauer von bis zu drei Jahren bis zur Hälfte des jeweils gemäß § 62 Abs. 1 maßgebenden Pflichtbeitragssatzes von der nach § 34 Abs. 2 zugesagten Leistung mit Zustimmung des Verwaltungsrates der Kasse abgewichen werden kann. In diesem Fall hat das Mitglied das entsprechend verminderte zusatzversorgungspflichtige Entgelt zu melden. Die nach § 35 Abs. 1 zu berücksichtigenden Versorgungspunkte werden von der Kasse im Verhältnis der Leistungsabsenkung herabgesetzt. Entsprechend der Verminderung der Leistungszusage für die bei dem Mitglied beschäftigten Pflichtversicherten reduziert sich für das Mitglied der zu zahlende Betrag der Kasse. Die Regelung kann über die in Satz 1 genannte Dauer hinaus verlängert werden.
#

§ 63
Sanierungsgeld

( 1 ) Die Kasse kann ein Sanierungsgeld im Sinne des § 19 Abs. 1 Nr. 3 Satz 4 erster Halbsatz EStG, welches nicht steuerbar ist (BMF-Schreiben vom 7. November 2008), zur Deckung eines Fehlbetrages im Abrechnungsverband S erheben, bis ein dauerhafter Kapitaldeckungsgrad von 100 v.H. (§ 59 Abs. 2 Buchst. b) erreicht ist. Die diesem Kapitaldeckungsgrad zugrunde liegenden Rechnungsgrundlagen für die Ermittlung der Deckungsrückstellung ergeben sich aus den in § 34 Abs. 3 verwendeten Zinsannahmen mit 3,25 v.H. in der Anwartschaftsphase, 5,25 v.H. in der Rentenphase und 1 v.H. Dynamisierung. Für die biometrischen Annahmen sind die Heubeck- Richttafeln 1998 sowie ergänzend 2018 G modifiziert anzuwenden (vgl. Ausführungsbestimmungen zu §§ 15 ff. sowie zu § 63 Abs. 1 im Anhang)
( 2 ) Das von den Mitgliedern zu entrichtende Sanierungsgeld beläuft sich je Kalenderjahr auf den vom Verwaltungsrat auf Vorschlag des Verantwortlichen Aktuars festgesetzten Vomhundertsatz der Summe der zusatzversorgungspflichtigen Entgelte der jeweiligen Pflichtversicherten des Abrechnungsverbandes S, mindestens jedoch des Entgelts für das Jahr 2001, jeweils angepasst um die allgemeine tarifliche Gehaltssteigerung zuzüglich des fünffachen der dem Abrechnungsverband S zuzuordnenden Renten mit Rentenbeginn ab 1. Januar 2002.
( 3 ) Auf das einzelne Mitglied entfällt der Teil der Gesamtsumme des jährlichen Sanierungsgeldes, der dem Verhältnis der Summe des zusatzversorgungspflichtigen Jahresentgeltes seiner Pflichtversicherten des Abrechnungsverbandes S, mindestens die Entgeltsumme für das Jahr 2001, jeweils angepasst um die allgemeine tarifliche Gehaltssteigerung, zur Summe des jeweils höheren Betrages aller Mitglieder entspricht.
( 4 ) Als Pflichtversicherte/r im Abrechnungsverband S gilt jede/jeder Pflichtversicherte mit Anwartschaft auf Leistungen, die aus dem Abrechnungsverband S zu erbringen sind.
( 5 ) Das Sanierungsgeld wird für das laufende Kalenderjahr nach Abschluss (oder auf der Basis) der Jahresabrechnung für das vorangegangene Kalenderjahr erhoben. Nach Zustellung der Entscheidung ist das Sanierungsgeld in zwölf monatlichen Teilbeträgen laufend zu entrichten. Bis zum Eingang der Entscheidung ist ein Abschlag in gleicher Höhe wie der für den Monat Dezember des Vorjahres entrichtete Teilbetrag zum Ende des jeweiligen Monats fällig. Der sich ergebende Unterschiedsbetrag der Abschlagszahlungen zu den sich nach der Entscheidung ergebenden tatsächlichen Teilbeträgen ist im Monat der Entscheidung fällig. § 65 Satz 3 VO gilt entsprechend.
#

§ 64

[unbesetzt]
#

§ 65
Fälligkeit von Beiträgen und Sanierungsgeldern

Die Beiträge sind in dem Zeitpunkt fällig, in dem das zusatzversorgungspflichtige Entgelt den Versicherten zufließt; Sanierungsgelder sind zu dem in § 63 Abs. 5 Sätze 3 und 4 genannten Zeitpunkt fällig. Sie müssen bis zum Ende des Kalendermonats der Fälligkeit bei der Kasse eingegangen sein. Beiträge und Sanierungsgelder, die nach diesem Zeitpunkt eingehen, sind bis zum Tage der Gutschrift mit jährlich fünf Prozentpunkten über dem am Ende des jeweiligen Zinsberechnungszeitraumes geltenden Basiszinssatz nach § 247 Abs. 1 BGB zu verzinsen.
#

§ 66
Überschussverteilung

( 1 ) Im Rahmen der versicherungstechnischen Bilanz für die Pflichtversicherung werden die Überschüsse jährlich bis zum Jahresende für das vorangegangene Geschäftsjahr festgestellt. Dabei werden die tatsächlich erzielten Kapitalerträge berücksichtigt.
( 2 ) Über die Zuteilung von Bonuspunkten entscheidet der Verwaltungsrat auf Vorschlag des Verantwortlichen Aktuars.
( 3 ) Für die Zuteilung der Bonuspunkte kommen die am Ende des laufenden Geschäftsjahres Pflichtversicherten sowie die zum gleichen Zeitpunkt beitragsfrei Pflichtversicherten, die eine Wartezeit von 120 Umlage-/Pflichtbeitragsmonaten erfüllt haben, in Betracht; § 32 Abs. 1 Satz 4 gilt entsprechend. Saisonbeschäftigte, die bei Beginn der nächsten Saison voraussichtlich wieder eingestellt werden, gelten als Pflichtversicherte im Sinne des Satzes 1.
#

Abschnitt III
Freiwillige Versicherung

##

§ 67
Beiträge

Schuldner der Beiträge für die freiwillige Versicherung ist die Versicherungsnehmerin/der Versicherungsnehmer.
#

§ 68
Überschussverteilung

( 1 ) Im Rahmen der versicherungstechnischen Bilanz für die freiwillige Versicherung werden die Überschüsse jährlich bis zum Jahresende für das vorangegangene Geschäftsjahr festgestellt.
( 2 ) Die Überschussbeteiligung richtet sich nach den Allgemeinen Versicherungsbedingungen.
( 3 ) Über die Zuteilung der Überschüsse entscheidet der Verwaltungsrat auf Vorschlag des Verantwortlichen Aktuars.
#

Fünfter Teil:
Übergangsvorschriften zur Ablösung des bis zum 31.12.2001
maßgebenden Leistungsrechts

#

Abschnitt I
Übergangsregelungen für Rentenberechtigte

##

§ 69
Am 31. Dezember 2001 Versorgungsrentenberechtigte

( 1 ) Die Versorgungsrenten, die sich ohne Berücksichtigung von Nichtzahlungs- und Ruhensregelungen ergeben, und die Ausgleichsbeträge nach dem bis zum 31. Dezember 2000 geltenden Zusatzversorgungsrecht werden für die am 31. Dezember 2001 Versorgungsrentenberechtigten und versorgungsrentenberechtigten Hinterbliebenen zum 31. Dezember 2001 festgestellt. Ab dem 1. Januar 2002 gilt – abgesehen von den in dieser Vorschrift ausdrücklich genannten Fällen – das bis zum 31. Dezember 2000 geltende Zusatzversorgungsrecht nicht mehr.
( 2 ) Die nach Absatz 1 festgestellten Versorgungsrenten werden vorbehaltlich des Satzes 3 als Besitzstandsrenten weitergezahlt und entsprechend § 37 dynamisiert. Die abbaubaren Ausgleichsbeträge werden jeweils in Höhe des Dynamisierungsgewinns abgebaut; die nicht abbaubaren Ausgleichsbeträge werden nicht dynamisiert. Die am Tag vor Inkrafttreten dieser Versorgungsordnung geltenden Regelungen über die Nichtzahlung und das Ruhen sind entsprechend anzuwenden.
( 3 ) Es gelten folgende Maßgaben:
  1. Neuberechnungen werden nur unter den Voraussetzungen des § 38 durchgeführt; zusätzliche Versorgungspunkte nach Satz 2 sind dabei zu berücksichtigen. Soweit noch Zeiten vor dem 1. Januar 2002 zu berücksichtigen sind, wird eine Startgutschrift entsprechend den §§ 72 bis 74 berechnet; übersteigt der hiernach festgestellte Betrag den Betrag, der sich als Versorgungsrente am 31. Dezember 2001 ergeben hat bzw. ohne Nichtzahlungs- und Ruhensvorschriften ergeben hätte, wird die Differenz durch den Messbetrag geteilt und dem Versorgungskonto (§ 34 Abs. 1) als Startgutschrift gutgeschrieben.
  2. § 36 Abs. 3 und die §§ 40 bis 52 gelten entsprechend.
  3. Hat die Versorgungsrente vor dem 1. Januar 2002 geendet und besteht die Möglichkeit einer erneuten Rentengewährung, ist die Versorgungsrente, die sich unter Außerachtlassung von Nichtzahlungs- und Ruhensvorschriften und ohne Berücksichtigung eines Ausgleichsbetrages (Absatz 1) am 31. Dezember 2001 ergeben hätte, durch den Messbetrag zu teilen und als Startgutschrift auf dem Versorgungskonto (§ 34 Abs. 1) gutzuschreiben; im Übrigen gelten in diesen Fällen die Vorschriften des Punktemodells. Satz 1 gilt entsprechend, wenn der Versicherungsfall vor dem 1. Januar 2002 eingetreten ist, die Versorgungsrente jedoch erst nach dem 1. Januar 2002 beginnt.
( 4 ) Ist der Versicherungsfall der teilweisen oder vollen Erwerbsminderung und der Rentenbeginn im Jahr 2001 eingetreten, gelten insoweit die bisher maßgebenden Regelungen der Versorgungsordnung – einschließlich der Regelungen der 18. Änderung der Versorgungsordnung vom 14. November 2001 – für das Jahr 2001 fort. Ab dem 1. Januar 2002 gelten auch in diesen Fällen die Regelungen der Absätze 1 bis 3 und des Absatzes 5. Neuberechnungen werden insoweit nur unter den Voraussetzungen des § 38 durchgeführt; zusätzliche Versorgungspunkte nach Absatz 3 Buchst. a) Satz 2 sind dabei zu berücksichtigen.
( 5 ) Stirbt eine/ein unter Absatz 1 fallende/r Versorgungsrentenberechtigte/r, gelten die Vorschriften des Punktemodells für Hinterbliebene entsprechend.
#

§ 70
Am 31. Dezember 2001 Versicherungsrentenberechtigte

( 1 ) Für Versicherungsrentenberechtigte und versicherungsrentenberechtigte Hinterbliebene, deren Versicherungsrente spätestens am 31. Dezember 2001 begonnen hat, wird die am 31. Dezember 2001 maßgebende Versicherungsrente festgestellt.
( 2 ) Die nach Absatz 1 festgestellten Versicherungsrenten werden als Besitzstandsrenten weitergezahlt und entsprechend § 37 dynamisiert.
( 3 ) § 69 Abs. 2 Satz 3 und Abs. 3 bis 5 gelten entsprechend.
( 4 ) Die Absätze 1 bis 3 gelten für Leistungen nach der am Tag vor Inkrafttreten dieser Versorgungsordnung geltenden Sonderregelung für Arbeitnehmer im Beitrittsgebiet (§ 108 a der Versorgungsordnung in der am 31. Dezember 2001 maßgebenden Fassung) und für Betriebsrenten nach § 18 BetrAVG, die spätestens am 31. Dezember 2001 begonnen haben, entsprechend.
#

§ 71
Versicherte mit Rentenbeginn am 1. Januar 2002

Für Rentenberechtigte, deren Rente am 1. Januar 2002 begonnen hat, finden die §§ 69 und 70 entsprechende Anwendung.
#

Abschnitt II
Übergangsvorschriften für Anwartschaften der Versicherten

##

§ 72
Grundsätze

( 1 ) Für die Versicherten werden die Anwartschaften nach dem am 31. Dezember 2000 geltenden Recht der Zusatzversorgung entsprechend den §§ 73 und 74 ermittelt. Die Anwartschaften nach Satz 1 werden unter Einschluss des Jahres 2001 ohne Berücksichtigung der Altersfaktoren in Versorgungspunkte umgerechnet, indem der Anwartschaftsbetrag durch den Messbetrag von vier Euro geteilt wird; sie werden dem Versorgungskonto (§ 34 Abs. 1) ebenfalls gutgeschrieben (Startgutschriften). Eine Verzinsung findet vorbehaltlich des § 66 nicht statt.
( 2 ) Für die Berechnung der Anwartschaften sind, soweit jeweils erforderlich, die Rechengrößen (insbesondere Entgelt, Gesamtbeschäftigungsquotient, Steuertabelle, Sozialversicherungsbeiträge, Familienstand, aktueller Rentenwert, Mindestgesamtversorgung) vom 31. Dezember 2001 maßgebend; soweit gesamtversorgungsfähiges Entgelt zu berücksichtigen ist, ergibt sich dieses – ohne Berücksichtigung einer Erhöhung zum 1. Januar 2002 – aus den entsprechenden Kalenderjahren vor diesem Zeitpunkt. Für die Rentenberechnung nach § 18 Abs. 2 BetrAVG ist das am 31. Dezember 2001 geltende Rentenrecht maßgebend.
( 3 ) Beanstandungen gegen die mitgeteilte Startgutschrift sind innerhalb einer Ausschlussfrist von sechs Monaten nach Zugang des Nachweises der Kasse schriftlich unmittelbar gegenüber der Kasse zu erheben. Auf die Ausschlussfrist wird in dem Nachweis hingewiesen. Nach Ablauf der Ausschlussfrist können keine Ansprüche mehr geltend gemacht werden.
( 4 ) Soweit die Summe aus der Startgutschrift ohne Berücksichtigung des § 73 Abs. 1 Satz 3 bis 7, dem Zuschlag zur Startgutschrift nach § 73 Abs. 1a sowie dem Betrag, der nach § 73 Abs. 3a als zusätzliche Startgutschrift ermittelt wurde, die Höhe der Anwartschaft nach § 73 Abs. 1 erreicht oder übersteigt, verbleibt es bei der bereits mitgeteilten Startgutschrift. Die Kasse teilt den Versicherten im Rahmen des Versicherungsnachweises nach § 51 mit, dass es entweder bei der bisherigen Startgutschrift verbleibt oder sie informiert über die Höhe der neu berechneten Startgutschrift. Neben der Information über den Versicherungsnachweis nach Satz 2 bedarf es keiner gesonderten Mitteilung.
#

§ 73
Höhe der Anwartschaften für am 31. Dezember 2001 schon
und am 1. Januar 2002 noch Pflichtversicherte

( 1 ) Die Anwartschaften der am 31. Dezember 2001 schon und am 1. Januar 2002 noch Pflichtversicherten berechnen sich nach § 18 Abs. 2 BetrAVG, soweit sich aus Satz 3 und Absatz 2 nichts anderes ergibt. Satz 1 gilt entsprechend für Beschäftigte, die nach den am 31. Dezember 2000 geltenden Vorschriften der Kasse als pflichtversichert gelten. Bei Anwendung von Satz 1 ist an Stelle des Faktors von 2,25 v.H. nach § 18 Abs. 2 Nr. 1 Satz 1 BetrAVG der Faktor zu berücksichtigen, der sich ergibt, indem man 100 v.H. durch die Zeit in Jahren vom erstmaligen Beginn der Pflichtversicherung bis zum Ende des Monats, in dem das 65. Lebensjahr vollendet wird, teilt; der Faktor beträgt jedoch mindestens 2,25 v.H. und höchstens 2,5 v.H. Bei Anwendung von Satz 3 werden Teilmonate ermittelt, indem die Pflichtversicherungszeit unabhängig von der tatsächlichen Anzahl der Tage des betreffenden Monats durch 30 dividiert wird. Aus der Summe der (Teil-)Monate werden die Jahre der Pflichtversicherung berechnet. Die sich nach den Sätzen 4 und 5 ergebenden Werte werden jeweils auf zwei Nachkommastellen gemeinüblich gerundet. Der sich durch die Division mit der Zeit in Jahren ergebende Faktor wird auf vier Nachkommastellen gemeinüblich gerundet. § 35 a in der am 31. Dezember 2001 geltenden Fassung findet Anwendung, soweit seine Voraussetzungen zum 31. Dezember 2001 bereits erfüllt waren.
(1a) Bei Beschäftigten, deren Anwartschaft nach Absatz 1 (rentenferne Jahrgänge) berechnet wurde, wird auch ermittelt, welche Anwartschaft sich bei einer Berechnung nach § 18 Abs. 2 BetrAVG unter Berücksichtigung folgender Maßgaben ergeben würde:
  1. Anstelle des Vomhundertsatzes nach § 18 Abs. 2 Nr. 1 Satz 1 BetrAVG wird ein Unverfallbarkeitsfaktor entsprechend § 2 Abs. 1 Satz 1 BetrAVG errechnet. Dieser wird ermittelt aus dem Verhältnis der Pflichtversicherungszeit vom Beginn der Pflichtversicherung bis zum 31. Dezember 2001 zu der Zeit vom Beginn der Pflichtversicherung bis zum Ablauf des Monats, in dem das 65. Lebensjahr vollendet wird. Der sich danach ergebende Vomhundertsatz wird auf zwei Stellen nach dem Komma gemeinüblich gerundet und um 7,5 Prozentpunkte vermindert.
  2. Ist der nach Nummer 1 Satz 3 ermittelte Vomhundertsatz höher als der ohne Anwendung von Absatz 1 Satz 3 bis 7 nach § 18 Abs. 2 Nr. 1 Satz 1 BetrAVG berechnete Vomhundertsatz, wird für die Voll-Leistung nach § 18 Abs. 2 BetrAVG ein individueller Brutto- und Nettoversorgungssatz nach § 32 Abs. 2, 3 und 3b der Versorgungsordnung in der am 31. Dezember 2001 geltenden Fassung ermittelt. Als gesamtversorgungsfähige Zeit werden dabei berücksichtigt
    1. die bis zum 31. Dezember 2001 erreichten Pflichtversicherungsmonate zuzüglich der Monate vom 1. Januar 2002 bis zum Ablauf des Monats, in dem das 65. Lebensjahr vollendet wird, und
    2. die Monate ab Vollendung des 17. Lebensjahres bis zum 31. Dezember 2001 abzüglich der Pflichtversicherungsmonate bis zum 31. Dezember 2001 zur Hälfte. Für Beschäftigte, die in einer Zusatzversorgungseinrichtung im Tarifgebiet Ost pflichtversichert waren und die nur Pflichtversicherungszeiten in der Zusatzversorgung nach dem 31. Dezember 1996 haben, gilt Satz 2 Buchst. b) mit der Maßgabe, dass für die Zeit vor dem 1. Januar 1997 höchstens 75 Monate zur Hälfte berücksichtigt werden. Bei Anwendung des § 32 Abs. 3 der Versorgungsordnung in der am 31. Dezember 2001 geltenden Fassung gilt als Eintritt des Versicherungsfalls der Erste des Kalendermonats nach Vollendung des 65. Lebensjahres; als gesamtversorgungsfähige Zeit im Sinne des § 33 Abs. 1 der Versorgungsordnung in der am 31. Dezember 2001 geltenden Fassung sind die Zeiten nach Satz 2 Buchst. a) zu berücksichtigen.
Ist die unter Berücksichtigung der Maßgaben nach den Nummern 1 und 2 sowie § 77c berechnete Anwartschaft höher als die Anwartschaft nach Absatz 1, wird der Unterschiedsbetrag zwischen diesen beiden Anwartschaften ermittelt und als Zuschlag zur Anwartschaft nach Absatz 1 berücksichtigt. Der Zuschlag vermindert sich um den Betrag, der bereits nach Absatz 3a als zusätzliche Startgutschrift ermittelt wurde.
( 2 ) Für Beschäftigte im Tarifgebiet West bzw. Beschäftigte, die Pflichtversicherungszeiten in der Zusatzversorgung vor dem 1. Januar 1997 haben, und die am 1. Januar 2002 das 55. Lebensjahr vollendet haben (rentennahe Jahrgänge), ist Ausgangswert für die bis zum 31. Dezember 2001 in der Zusatzversorgung (Gesamtversorgung) erworbene Anwartschaft die Versorgungsrente, die sich unter Beachtung der Maßgaben des § 72, insbesondere unter Berücksichtigung der Mindestgesamtversorgung (§ 32 Abs. 5 der Versorgungsordnung in der am 31. Dezember 2001 maßgebenden Fassung) und des § 35 a der Versorgungsordnung in der am 31. Dezember 2001 maßgebenden Fassung, für die/den Berechtigte/n bei Eintritt des Versicherungsfalls am 31. Dezember 2001, frühestens jedoch zum Zeitpunkt der Vollendung des 63. Lebensjahres vor Berücksichtigung des Abschlags ergeben würde. Von diesem Ausgangswert ist der Betrag abzuziehen, den die Versicherten aus dem Punktemodell bis zur Vollendung des 63. Lebensjahres vor Berücksichtigung des Abschlags noch erwerben könnten, wenn für sie zusatzversorgungspflichtige Entgelte in Höhe des mit dem Gesamtbeschäftigungsquotienten vervielfachten gesamtversorgungsfähigen Entgelts gezahlt würden. Sind am 31. Dezember 2001 die Voraussetzungen für die Berücksichtigung des § 100 Abs. 3 der Versorgungsordnung in der am 31. Dezember 2001 maßgebenden Fassung erfüllt, berechnet sich der Versorgungsvomhundertsatz nach dieser Vorschrift mit der Maßgabe, dass nach § 100 Abs. 3 Satz 2 Buchst. a der Versorgungsordnung in der am 31. Dezember 2001 maßgebenden Fassung abzuziehende Monate die Monate sind, die zwischen dem 31. Dezember 1991 und dem Ersten des Monats liegen, der auf die Vollendung des 63. Lebensjahres folgt. Die Sätze 1 bis 3 gelten für Beschäftigte, die am 31. Dezember 2001 das 52. Lebensjahr vollendet haben und eine Rente für schwerbehinderte Menschen beanspruchen könnten, wenn sie zu diesem Zeitpunkt bereits das 60. Lebensjahr vollendet hätten, entsprechend mit der Maßgabe, dass an die Stelle des 63. Lebensjahres das entsprechende, für sie individuell frühestmögliche Eintrittsalter in die abschlagsfreie Rente für schwerbehinderte Menschen maßgeblich ist. Werden in den Fällen des Satzes 4 die Voraussetzungen für die Mindestgesamtversorgung zwischen dem Zeitpunkt der Hochrechnung nach Satz 4 und der Vollendung des 63. Lebensjahres erfüllt, erfolgt die Berechnung der Anwartschaft abweichend von Satz 4 bezogen auf den Zeitpunkt, zu dem die Voraussetzungen der Mindestgesamtversorgung erfüllt wären.
( 3 ) Für Beschäftigte im Tarifgebiet West oder für Beschäftigte, die Pflichtversicherungszeiten in der Zusatzversorgung vor dem 1. Januar 1997 haben, und die vor dem 14. November 2001 Altersteilzeit oder einen Vorruhestand vereinbart haben, gilt Absatz 2 mit folgenden Maßgaben:
  1. An die Stelle des 63. Lebensjahres tritt das vereinbarte Ende des Altersteilzeitarbeitsverhältnisses oder in den Fällen des Vorruhestandes das Alter, zu dem nach der Vorruhestandsvereinbarung die Rente beginnen würde.
  2. Der anzurechnende Bezug nach Absatz 4 wird in den Fällen, in denen die Mindestgesamtversorgung nach dem bis zum 31. Dezember 2000 geltenden Zusatzversorgungsrecht maßgeblich gewesen wäre, um die Abschläge vermindert, die sich zu dem Zeitpunkt, auf den die Startgutschrift hochgerechnet wird, voraussichtlich ergeben werden; diese Abschläge sind der Zusatzversorgungseinrichtung vom Beschäftigten in geeigneter Weise nachzuweisen. Die Startgutschrift ist in den Fällen des Satzes 1 um den Betrag der sich im Zeitpunkt der Hochrechnung nach Satz 1 voraussichtlich ergebenden Abschläge gemäß § 33 Abs. 3 zu erhöhen.
(3a) Pflichtversicherte bei denen der Versicherungsfall der vollen Erwerbsminderung vor dem 1. Januar 2007 eingetreten ist, deren Startgutschrift nach Absatz 1 berechnet wurde und die am 31. Dezember 2001
  1. das 47. Lebensjahr vollendet sowie
  2. mindestens 120 Umlagemonate zurückgelegt hatten,
erhalten in Abweichung von dem üblichen Verfahren eine zusätzliche Startgutschrift in Höhe des Betrages, um den die Startgutschrift nach Absatz 2 die Startgutschrift nach Absatz 1 übersteigt; bei Berechnung der Startgutschrift nach Absatz 2 sind die Maßgaben der Sätze 2 und 3 zu beachten. Die Berechnung erfolgt bezogen auf die Vollendung des 63. Lebensjahres. Als anzurechnender Bezug wird die tatsächliche, entsprechend Absatz 5 auf das vollendete 63. Lebensjahr hochgerechnete gesetzliche Rente zugrunde gelegt. Die sich nach den Sätzen 1 bis 3 ergebende zusätzliche Startgutschrift gilt bei Anwendung des § 66 als soziale Komponente im Sinne des § 35.
( 4 ) Für die Berechnung der Startgutschrift nach Absatz 2 ist die Rentenauskunft des gesetzlichen Rentenversicherungsträgers zum Stichtag 31. Dezember 2001 nach Durchführung einer Kontenklärung maßgebend. Die Pflichtversicherten haben, sofern sie nicht bereits über eine Rentenauskunft aus dem Jahr 2001 verfügen, bis zum 30. September 2002 eine Rentenauskunft zu beantragen und diese unverzüglich der Kasse zu übersenden. Sofern die Rentenauskunft aus von den Pflichtversicherten zu vertretenden Gründen bis zum 31. Dezember 2003 nicht beigebracht wird, wird die Startgutschrift nach Absatz 1 berechnet. Bei Vorliegen besonderer Gründe kann die Kasse eine angemessene Fristverlängerung gewähren. Soweit bis zum 31. Dezember 2002 bereits ein bestands- oder rechtskräftiger Rentenbescheid der gesetzlichen Rentenversicherung vorliegt, ist – abweichend von Satz 1 – dieser Grundlage für die Berechnung nach Absatz 2.
( 5 ) Für die Zeit bis zur Vollendung des 63. Lebensjahres werden Entgeltpunkte in Höhe des jährlichen Durchschnitts der in dem Zeitraum vom 1. Januar 1999 bis 31. Dezember 2001 tatsächlich aus Beitragszeiten erworbenen Entgeltpunkte in Ansatz gebracht. Bei Pflichtversicherten, die nicht in der gesetzlichen Rentenversicherung versichert sind, wird der anzurechnende Bezug nach der bisher geltenden Regelung berücksichtigt; Zuschüsse werden in Höhe des jährlichen Durchschnitts der in der Zeit vom 1. Januar 1999 bis 31. Dezember 2001 tatsächlich gemeldeten Zuschüsse in Ansatz gebracht. Ist in den Jahren 1999 bis 2001 kein zusatzversorgungspflichtiges Entgelt bezogen worden, ist gesamtversorgungsfähiges Entgelt das zusatzversorgungspflichtige Entgelt, das sich ergeben hätte, wenn für den gesamten Monat Dezember 2001 eine Beschäftigung vorgelegen hätte. Sind in den Jahren 1999 bis 2001 keine Entgeltpunkte erworben worden, ist für die Ermittlung der Entgeltpunkte das rentenversicherungspflichtige Entgelt maßgebend, das im Monat Dezember 2001 bezogen worden wäre, wenn während des gesamten Monats eine Beschäftigung vorgelegen hätte; für die Ermittlung der Zuschüsse gilt dies entsprechend.
( 6 ) Für die Berechnung der Startgutschrift nach Absatz 1 und 2 haben die Pflichtversicherten bis zum 31. Dezember 2002 dem Mitglied den Familienstand am 31. Dezember 2001 (§ 32 Abs. 3 c Satz 1 Buchst. a und b der Versorgungsordnung in der am 31. Dezember 2001 maßgebenden Fassung) mitzuteilen. Das Mitglied hat die Daten an die Kasse zu melden.
( 7 ) Für die Dynamisierung der Anwartschaften gilt § 66. Auf den Zuschlag zur Anwartschaft nach Absatz 1a werden für die Jahre 2001 bis 2010 keine Bonuspunkte (§ 66) gewährt. Satz 2 gilt für die Jahre bis 2016 auch für eine Erhöhung der Startgutschrift infolge der Berechnung nach Absatz 1 Satz 3 bis 7.
#

§ 74
Höhe der Anwartschaften für am 1. Januar 2002 beitragsfrei Versicherte

( 1 ) Eine zum 31. Dezember 2001 bestehende beitragsfreie Versicherung nach § 25 der Versorgungsordnung in der am 31. Dezember 2001 maßgebenden Fassung oder eine am 31. Dezember 2001 beendete Pflichtversicherung wird ab 1. Januar 2002 zu einer beitragsfreien Pflichtversicherung (§ 21). Freiwillig Weiterversicherte können die Umwandlung der freiwilligen Weiterversicherung in eine freiwillige Versicherung zum 1. Januar 2002 beantragen; der Antrag ist bis zum 31. Dezember 2002 zu stellen.
( 2 ) Die Startgutschriften der am 1. Januar 2002 beitragfrei Versicherten werden nach der am 31. Dezember 2001 geltenden Versicherungsrentenberechnung ermittelt. Für die Dynamisierung der Anwartschaften gilt § 66.
( 3 ) Für die freiwillig Weiterversicherten gilt Absatz 2 entsprechend.
( 4 ) Auf einen gesetzlichen Anspruch nach § 18 Abs. 2 BetrAVG ist § 73 Abs. 1 Satz 3 bis 7 und Abs. 1a entsprechend anzuwenden. Für die Dynamisierung der Anwartschaften gilt § 73 Abs. 7 entsprechend
#

Abschnitt III
Sonstiges

##

§ 75
Sterbegeld

( 1 ) Sterbegeld wird bei Fortgeltung des bisherigen Rechts (§ 49 Abs. 1 bis 3 und 8 der Versorgungsordnung in der am 31. Dezember 2001 maßgebenden Fassung) Anspruchsberechtigten unter Berücksichtigung des am 31. Dezember 2001 maßgebenden Gesamtbeschäftigungsquotienten in folgender Höhe gezahlt für Sterbefälle
im Jahr 2002
1.535 Euro,
im Jahr 2003
1.500 Euro,
im Jahr 2004
1.200 Euro,
im Jahr 2005
900 Euro,
im Jahr 2006
600 Euro,
im Jahr 2007
300 Euro.
Ab dem Jahr 2008 entfällt das Sterbegeld.
( 2 ) Der Anspruch auf Sterbegeld ist innerhalb einer Ausschlussfrist von zwei Jahren seit Entstehen des Anspruchs schriftlich bei der Kasse geltend zu machen.
#

§ 76
Übergangsregelung für Beschäftigte oberhalb der Vergütungsgruppe I BAT

Für Beschäftigte, für die für Dezember 2001 schon und für Januar 2002 noch eine zusätzliche Umlage/ein zusätzlicher Beitrag nach § 62 Abs. 4 der Versorgungsordnung in der am 31.12.2001 geltenden Fassung gezahlt wurde, ist in diesem Arbeitsverhältnis zusätzlich ein Pflichtbeitrag in Höhe von neun v. H. des übersteigenden Betrages vom Mitglied zu zahlen, soweit das monatliche zusatzversorgungspflichtige Entgelt den Grenzbetrag nach Satz 3 übersteigt. Die sich aus dem übersteigenden zusatzversorgungspflichtigen Entgelt ergebenden Versorgungspunkte sind zu verdreifachen. Grenzbetrag ist das 1,133-fache des Betrages der Entgeltgruppe 15 Stufe 6 TVöD/VKA Tarifgebiet West oder Tarifgebiet Ost jährlich einmal einschließlich der Jahressonderzahlung, wenn der/die Beschäftigte eine zusatzversorgungspflichtige Jahressonderzahlung erhält.
#

§ 77
Ausnahmen von der Versicherungspflicht für höherversicherte Beschäftigte

Die Beschäftigten, deren zusätzliche Alters- und Hinterbliebenenversorgung im Wege der Höherversicherung bis 31. Dezember 1997 durchgeführt wurde und seinerzeit keine Erklärung zur Teilnahme an der Zusatzversorgung abgegeben haben, sind weiterhin nicht zu versichern.
#

§ 77a
Diakonissen

Die Einbeziehung von Diakonissen in die Pflichtversicherung (§ 18) bedarf einer besonderen Vereinbarung.
#

§ 77b
Kirchliche Arbeitsrechtsregelungen

Diese Versorgungsordnung ist mit der Maßgabe anzuwenden, dass tarifvertragliche Regelungen im Sinne der Versorgungsordnung auch die kirchlichen Arbeitsrechtsregelungen sind.
#

§ 77c
Übergangsregelung zu § 73 Abs. 1

Für Versicherte, die am 31. Dezember 2001 schon und am 1. Januar 2002 noch in der Zusatzversorgungskasse der Evangelisch-lutherischen Landeskirche Hannovers pflichtversichert waren, ist die Anwartschaft nach § 18 Abs. 2 BetrAVG mit der Maßgabe zu berechnen, dass für jedes Jahr der Pflichtversicherung für die Versicherungszeit
a)
bis zu 120 Monaten
2,25 v. H.,
b)
von 121 bis zu 240 Monaten
2,35 v. H.
und
c)
ab 241 Monaten
2,50 v. H.,
höchstens jedoch 100 v. H. der Leistung, die bei dem höchstmöglichen Versorgungssatz zugestanden hätte (Voll-Leistung), gewährt werden.
#

§ 77d
Sonderregelung für Beschäftigte im Beitrittsgebiet

Beschäftigte im Beitrittsgebiet, bei denen der Versicherungsfall vor Erfüllung der Wartezeit (§ 32 Abs. 1) eingetreten ist, erhalten unter den Voraussetzungen des § 108 a der Satzung in der am 31. Dezember 2001 maßgebenden Fassung eine Leistung in der Höhe, wie sie ihnen als Versicherungsrente nach § 35 Abs. 1 der Satzung in der am 31. Dezember 2001 maßgebenden Fassung zugestanden hätte, wenn sie in den dem Eintritt des Versicherungsfalls oder dem Ende des Arbeitsverhältnisses vorangegangenen 60 Kalendermonaten pflichtversichert gewesen wären. Satz 1 gilt für Hinterbliebene einer/eines vor Erfüllung der Wartezeit verstorbenen Versicherten entsprechend.
#

Sechster Teil:
Schlussvorschriften

###

§ 78
Übergangsregelungen

( 1 ) Ist der/die Versicherte oder der/die Betriebsrentenberechtigte vor dem 1. Juli 2007 verstorben, findet § 36 Abs. 1 Satz 5 keine Anwendung; dies gilt nicht für Neuzusagen, die nach dem 31. Dezember 2006 erteilt wurden.
( 2 ) Für Mutterschutzzeiten nach § 3 Abs. 2 und § 6 Abs. 1 MuSchG, die in der Zeit vom 1. Januar 2002 bis zum 31. Dezember 2011 liegen, gilt § 35 Abs. 1 Satz 3 und 4 mit folgenden Maßgaben:
  1. Die Mutterschutzzeiten werden auf schriftlichen Antrag der Beschäftigten berücksichtigt. Geeignete Nachweise zum Beginn und Ende der Mutterschutzfristen sind vorzulegen. Der Antrag und die Nachweise sind bei der Kasse einzureichen, bei der die Pflichtversicherung während der Mutterschutzzeit bestanden hat.
  2. Das für die Mutterschutzzeit anzusetzende zusatzversorgungspflichtige Entgelt wird errechnet aus dem durchschnittlichen kalendertäglichen zusatzversorgungspflichtigen Entgelt des Kalenderjahres, das dem Jahr vorangeht, in dem die Mutterschutzfrist begonnen hat. Bei der Berechnung des durchschnittlichen Entgelts werden Kalendermonate ohne zusatzversorgungspflichtiges Entgelt nicht berücksichtigt. Ist in diesem Zeitraum kein zusatzversorgungspflichtiges Entgelt angefallen, ist für die Berechnung das Entgelt zugrunde zu legen, das sich als durchschnittliches zusatzversorgungspflichtiges Entgelt im Kalenderjahr vor Beginn der Mutterschutzzeit ergeben hätte.
  3. Das zusatzversorgungspflichtige Entgelt nach Buchst. b) vermindert sich um das zusatzversorgungspflichtige Entgelt, das nach § 35 Abs. 1 in der Fassung der 1. Änderung der Versorgungsordnung vom 13. November 2003 für Kalendermonate berücksichtigt worden ist, in denen das Arbeitsverhältnis ganz oder teilweise nach § 6 Abs. 1 MuSchG geruht hat.
Für Beschäftigte mit Mutterschutzzeiten vor dem 1. Januar 2002 gilt Satz 1 bei entsprechendem Antrag der Versicherten bzw. der Rentenberechtigten sinngemäß für die Berechnung ihrer Startgutschriften. Am 31. Dezember 2001 Rentenberechtigte mit Mutterschutzzeiten vor dem 1. Januar 2002 erhalten auf Antrag einen Zuschlag zu ihrer Besitzstandsrente, der sich ergibt, wenn auf der Grundlage der Entgelte gemäß Satz 1 Buchst. b entsprechend § 34 Versorgungspunkte gutgeschrieben würden.
( 3 ) Erhöhen sich durch die Neuberechnung nach § 73 Abs. 1 Satz 3 bis 7 und § 74 Abs. 4 die Startgutschriften in bereits laufenden Betriebsrentenfällen, führt dies zur rückwirkenden Erhöhung der Rentenleistungen. Die Erhöhungsbeträge werden unaufgefordert unverzinst von der Kasse nachgezahlt; Teilzahlungs-, Nichtzahlungsund Ruhensregelungen sind zu berücksichtigen.
#

§ 79
[aufgehoben]

#

§ 80
Inkrafttreten

( 1 ) Diese Versorgungsordnung tritt mit Wirkung vom 1. Januar 2001 an die Stelle der bisher geltenden Versorgungsordnung in der Fassung der 19. Änderung. Zum gleichen Zeitpunkt treten die hierzu erlassenen Durchführungs- und Übergangsvorschriften außer Kraft. Im Übrigen gilt das zum 31. Dezember 2000 geltende Versorgungsrecht als Übergangsregelung bis zum 31. Dezember 2001 fort.
( 2 ) Anstelle von § 19 findet bis zum 31. Dezember 2002 § 16 Abs. 1 Satz 1 Buchst. b und Abs. 3 Buchst. b und § 17 der Versorgungsordnung in der am 31. Dezember 2001 maßgebenden Fassung weiterhin Anwendung. § 19 Abs. 2 findet nur für nach dem 31. Dezember 2002 begründete Beschäftigungsverhältnisse Anwendung.
( 3 ) Soweit bis zum 31. Dezember 2002 zusatzversorgungspflichtiges Entgelt entsprechend § 62 der Versorgungsordnung in der am 31. Dezember 2001 maßgebenden Fassung gemeldet wird, hat es dabei sein Bewenden.
#

Anhang 1

#

Ausführungsbestimmungen
zu §§ 15 bis 15g Versorgungsordnung

Die Ausführungsbestimmungen zu den §§ 15 bis 15g Versorgungsordnung regeln die nähere Ausgestaltung des von der oder dem ausgeschiedenen Beteiligten zu leistenden finanziellen Ausgleichs (§§ 15 bis 15g Versorgungsordnung).
Der finanzielle Ausgleich wird als Nachfinanzierungsbeitrag je Abrechnungsverband (Abrechnungsverband P und S) berechnet.
Der Nachfinanzierungsbeitrag ist als Einmalbetrag zu leisten, wenn sich die oder der ausgeschiedene Beteiligte nicht für die Ratenzahlung entscheidet.
Zusätzlich hat die oder der ausgeschiedene Beteiligte die Option, das Alternativmodell turnusmäßige Vergleichsberechnung zu beiden Zahlungsformen zu wählen.
Die oder der ausgeschiedene Beteiligte kann seine Wahl (Einmalbetrag / Ratenzahlung) und das Alternativmodell turnusmäßige Vergleichsberechnung separat pro Abrechnungsverband in der Pflichtversicherung wählen.
Daher beziehen sich die in der Versorgungsordnung und in den Ausführungsbestimmungen aufgeführten Rechnungsgrundlagen, Berechnungsparameter und Konkretisierungen der Regelungen der Versorgungsordnung jeweils auf den Abrechnungsverband P und auf den Abrechnungsverband S, wenn nicht in der Versorgungsordnung oder den Ausführungsbestimmungen eine Anwendung nur für einen bestimmten Abrechnungsverband geregelt ist.
Diese Ausführungsbestimmungen sind Teil der Satzung.
#

Abschnitt I:
Zu § 15a – Finanzieller Ausgleich bei Unterdeckung

#

§ 1
Formel zur Ermittlung des Kapitaldeckungsgrads
(§ 15a Abs. 2)

Der Kapitaldeckungsgrad des Abrechnungsverbands wird berechnet durch:
Kapitaldeckungsgrad = Vermögen / (Barwert der Verpflichtungen)
#

§ 2
Ermittlung des Vermögens
(§ 15a Abs. 3)

Das Vermögen setzt sich zusammen aus der Summe der Bilanzpositionen „Aktiva B. Kapitalanlagen“ und der Bilanzposition „Aktiva D.II Laufende Guthaben bei Kreditinstituten, Schecks und Kassenbestand“ im Abrechnungsverband.
#

§ 3
Einzubeziehende Verpflichtungen
(§ 15a Abs. 4)

Eine bei der Ermittlung des Barwerts der Verpflichtungen des Abrechnungsverbands (§ 15a Abs. 4 der Versorgungsordnung) einzubeziehende Anwartschaft ist dann unverfallbar, wenn die Wartezeit nach § 32 Versorgungsordnung oder Unverfallbarkeit nach dem Betriebsrentengesetz eingetreten ist.
Bei der Ermittlung dieses Barwerts werden dieselben Anwartschaften und Ansprüche einbezogen wie in die jeweiligen Bilanzpositionen Deckungsrückstellung unter Passiva E.II. in den Abrechnungsverbänden P und S, allerdings ohne Berücksichtigung von verfallbaren Anwartschaften (Abrechnungsverbände P und S) und ohne Vorsorge für zukünftige soziale Komponenten (Abrechnungsverband P, § 35 Versorgungsordnung).
#

§ 4
Rechnungsgrundlagen zur Ermittlung des Barwerts der Verpflichtungen
(§ 15a Abs. 5)

Die Rechnungsgrundlagen zur Ermittlung des Barwerts der Verpflichtungen (§ 15a Abs. 5 Versorgungsordnung) sind dieselben wie die Rechnungsgrundlagen zur Ermittlung des Barwerts der der oder dem ausgeschiedenen Beteiligten zuzurechnenden Verpflichtungen (§ 15b Abs. 3 Versorgungsordnung). Einzelheiten zu diesen Rechnungsgrundlagen regelt Abschnitt III dieser Ausführungsbestimmungen.
#

Abschnitt II:
Zu § 15b - Berechnung des Nachfinanzierungsbeitrags

#

§ 1
Einzubeziehende Verpflichtungen
(§ 15b Abs. 2)

( 1 ) Bei der Ermittlung des Barwerts der der oder dem ausgeschiedenen Beteiligten zuzurechnenden Verpflichtungen des Abrechnungsverbands (§ 15b Abs. 2 Versorgungsordnung) sind die zuzurechnenden Verpflichtungen im jeweiligen Abrechnungsverband nach Maßgabe der folgenden Absätze einzubeziehen.
( 2 ) Der oder dem ausgeschiedenen Beteiligten zuzurechnende Verpflichtungen sind die unverfallbaren Anwartschaften von Pflichtversicherten und beitragsfrei Versicherten nach § 16 Abs. 1 Buchst. a Versorgungsordnung (im Folgenden: Versicherte) sowie die Ansprüche von Betriebsrentenberechtigten und künftige Ansprüche von deren Hinterbliebenen nach § 30 Versorgungsordnung (im Folgenden: Rentner) des jeweiligen Abrechnungsverbands, sofern diese vor Beendigung der Beteiligung nicht zu einer oder einem anderen Beteiligten der Kasse gewechselt haben und über diesen pflichtversichert worden sind.
( 3 ) Nicht zu berücksichtigen sind solche Pflichtversicherungen der Beschäftigten der oder des ausgeschiedenen Beteiligten, die in den 36 Monaten vor dem Ausscheiden durchgehend oder zeitweise bestanden haben, und spätestens drei Monate nach ihrer Beendigung über eine oder einen anderen Beteiligten oder mehrere andere Beteiligte, auf die oder auf den die Aufgaben der oder des des früheren Beteiligten übergegangen sind, fortgesetzt werden.
( 4 ) Die Anwartschaften und Ansprüche je Abrechnungsverband werden jeweils in der Höhe in Ansatz gebracht, wie sie zum Stichtag der Beendigung der Beteiligung im Sinne einer einheitlichen Pflichtversicherung gemäß § 15b und § 17 Satz 3 Versorgungsordnung als Verpflichtung in diesem Abrechnungsverband bestehen.
#

§ 2
Rechnungsgrundlagen zur Ermittlung des Barwerts der dem ausgeschiedenen Beteiligten zuzurechnenden Verpflichtungen
(§ 15b Abs. 3)

Die Rechnungsgrundlagen nach § 15b Abs. 3 Versorgungsordnung zur Ermittlung des Barwerts der Verpflichtungen, die der oder dem ausgeschiedenen Beteiligten zuzurechnen sind, entsprechen den Rechnungsgrundlagen zur Ermittlung des Barwerts der Verpflichtungen (§ 15a Abs. 5 Versorgungsordnung). Sie sind in Abschnitt III dieser Ausführungsbestimmungen geregelt.
#

§ 3
Erforderliche Bestandsdaten
(§ 15b Abs. 5)

( 1 ) Die Berechnungen erfolgen jeweils auf Grundlage der Bestandsdaten bei der Kasse (im Folgenden: Bestandsdaten).
( 2 ) Die Bestandsdaten umfassen:
  • Geburtsdatum und daraus abgeleitet das versicherungstechnische Alter zum Bewertungsstichtag,
  • Geschlecht (männlich, weiblich, divers),
  • Status (Aktive:r; Altersrentner:in, Erwerbsminderungsrentner:in; Witwe:r, Waise),
  • Anwartschaft in Versorgungspunkten bei Versicherten bzw. Monatsrente (in €) bei Rentnern getrennt nach den Abrechnungsverbänden P und S,
  • Versicherungsnummer.
#

Abschnitt III:
Rechnungsgrundlagen zur Ermittlung des Barwerts nach § 15a Abs. 5 und zur Ermittlung des Barwerts nach § 15b Abs. 3

Der Barwert der Verpflichtungen des Abrechnungsverbands (§ 15a Abs. 4 Versorgungsordnung) und der Barwert der der oder dem ausgeschiedenen Beteiligten zuzurechnenden Verpflichtungen (§ 15b Abs. 2 Versorgungsordnung) wird mit folgenden Rechnungsgrundlagen (§ 15a Abs. 5 und § 15b Abs. 3 Versorgungsordnung) berechnet:
#

§ 1
Rechnungszins zur Abzinsung der Verpflichtungen

( 1 ) Zur Berechnung des Barwerts der Verpflichtungen wird als Rechnungszins der Höchstrechnungszins nach § 2 Abs. 2 der Deckungsrückstellungsverordnung zugrunde gelegt. Dieser Rechnungszins weicht von dem Rechnungszins ab, der für die Berechnung der bilanziellen Deckungsrückstellung im jeweiligen Abrechnungsverband (sog. bilanzieller Rechnungszins) verwendet wird.
( 2 ) Ein bilanzieller Barwert wird für eine Risikogemeinschaft errechnet, in welcher die Beteiligten gemeinsam für ungeplante Entwicklungen einstehen. Die dafür verwendeten Rechnungsgrundlagen können bei veränderten Rahmenbedingungen über eine Änderung des genehmigten Technischen Geschäftsplanes angepasst werden. Die Berücksichtigung von entstehenden Risiken für die Risikogemeinschaft der Beteiligten ist damit jederzeit gewährleistet.
( 3 ) Eine oder ein Beteiligter, die oder der aufgrund seiner Beendigung der Beteiligung aus dieser Risikogemeinschaft ausscheidet, trägt Risiken ab dem Zeitpunkt ihres oder seines Ausscheidens nicht mehr mit. Diese Risiken tragen die im Kollektiv verbleibenden Beteiligten. Es wird daher für die Berechnung des Barwerts der Verpflichtungen für die Ermittlung der Unterdeckung nach § 15a Versorgungsordnung und für die Berechnung des Nachfinanzierungsbeitrags nach § 15b Versorgungsordnung ein anderer Rechnungszins als der bilanzielle Rechnungszins verwendet. Für diesen anderen, in Absatz 1 geregelten Rechnungszins wird der Höchstrechnungszins nach § 2 Abs. 2 der Deckungsrückstellungsverordnung als anerkannter Zinssatz mit gesetzlicher Grundlage herangezogen.
#

§ 2
Biometrische Rechnungsgrundlagen

( 1 ) Hinsichtlich der Wahl der biometrischen Rechnungsgrundlagen wird auf die Heubeck-Richttafeln 2018G zurückgegriffen, die als sogenannte Generationentafeln ausgestaltet sind.
( 2 ) Es wird eine modifizierte Fassung der Heubeck-Richttafeln mit entsprechenden Anpassungen angewendet, die den kassenspezifischen Verhältnissen entspricht. Die Modifikationen sind:
  • Für Männer:
    qxaa
    ix
    qxi
    qxg/r
    hx
    qxw
    80 %
    55 %
    85 %
    90 %
    80 %
    90 %
  • Für Frauen:
    qyaa
    iy
    qyi
    qyg/r
    hy
    qyw
    90 %
    60 %
    80 %
    95 %
    65 %
    95 %
( 4 ) Die Heubeck-Richttafeln unterscheiden im Hinblick auf den Eintritt des vorzeitigen Versicherungsfalls wegen Erwerbsminderung nicht zwischen teilweiser und voller Erwerbsminderung. Daher wird bei den entsprechenden Ausscheidewahrscheinlichkeiten stets auf den Bezug einer Rente wegen voller Erwerbsminderung abgestellt.
( 5 ) Darüber hinaus sehen die Heubeck-Richttafeln keine expliziten Wahrscheinlichkeiten für den Eintritt von Waisenrente vor. Die Anwartschaft auf Waisenrente wird daher durch einen pauschalen Zuschlag in Höhe von 5 v.H. auf die zukünftig erwarteten Witwen-/Witwerrentenanwartschaften für diejenigen Versicherten und Rentnerinnen und Rentner berücksichtigt, die zum Zeitpunkt der Beendigung der Beteiligung noch nicht das Renteneintrittsalter gemäß § 3 erreicht haben.
( 6 ) Die Kasse stellt auf Verlangen dem ausgeschiedenen Beteiligten die Heubeck-Richttafeln 2018G zur Verfügung.
#

§ 3
Renteneintrittsalter und versicherungsmathematische Kürzungen

( 1 ) Als rechnungsgemäßes Renteneintrittsalter wird die Vollendung der jeweiligen Regelaltersgrenze angesetzt.
( 2 ) Die geburtsjahrabhängige Anhebung der Altersgrenzen sowie auch der Altersgrenzen für die vorzeitige Inanspruchnahme von Leistungen (RV-Altersgrenzenanpassungsgesetz) wird bei der Bewertung berücksichtigt. Vereinfachend werden dabei für die Geburtsjahrgänge bis 1952 die Regelaltersgrenze 65 Jahre, für Geburtsjahrgänge von 1953 bis 1961 die Regelaltersgrenze 66 Jahre und für Geburtsjahrgänge ab 1962 die Regelaltersgrenze 67 verwendet.
( 3 ) Vor Erreichen des rechnungsgemäßen Renteneintrittsalters gemäß Absatz 1 werden bei der Barwertermittlung nur die Versicherungsfälle Erwerbsminderung bzw. Tod (Hinterbliebenenrente) berücksichtigt. Die Kürzung der dann erwarteten Rentenansprüche wegen vorzeitiger Inanspruchnahme wird abhängig vom Geburtsjahr entsprechend den Regelungen in der gesetzlichen Rentenversicherung vorgenommen. Vereinfachend wird dabei für Geburtsjahrgänge mit gleichem gerundeten Pensionierungsalter von einer jeweils identischen Kürzung ausgegangen.
( 4 ) Daraus ergeben sich im Einzelnen folgende Kürzungsfaktoren:
Alter x bei Eintritt des
Versorgungsfalls
Geburts-
jahrgänge
bis 1952
Geburts-
jahrgänge
von 1953
bis 1961
Geburts-
jahrgänge
ab 1962
x ≤ 60
10,8 %
10,8 %
10,8 %
(Invaliditätsrente)
x = 61
7,2 %
10,8 %
10,8 %
(Invaliditätsrente)
x = 62
3,6 %
7,2 %
10,8 %
(Invaliditätsrente)
x = 63
0,0 %
3,6 %
7,2 %
(Invaliditätsrente)
x = 64
0,0 %
0,0 %
3,6 %
(Invaliditätsrente)
x = 65
0,0 %
0,0 %
0,0 %
(Altersrente/Invaliditätsrente)
x = 66
0,0 %
0,0 %
0,0 %
(Altersrente/Invaliditätsrente)
x ≥ 67
0,0 %
0,0 %
0,0 %
(Altersrente)
Versicherte, die zum Zeitpunkt der Beendigung der Beteiligung das Renteneintrittsalter gemäß Absatz 1 bereits vollendet haben, werden so in Ansatz gebracht, als würden sie am Tag nach Beendigung der Beteiligung erstmalig Altersrente in Anspruch nehmen.
#

§ 4
Jährliche Anpassung der Betriebsrenten

Die jährliche Anpassung (Dynamisierung) der laufenden Leistungen um 1 v.H. (§ 37 Versorgungsordnung) ist verbindlicher Teil der Versorgungszusage und wird dem entsprechend bei der Ermittlung des finanziellen Ausgleichs berücksichtigt.
#

§ 5
Sonstige Anpassungen

( 1 ) Anwartschaften auf Witwen-/Witwerrente werden in Abhängigkeit vom Geburtsjahrgang der Versicherten und Rentnerinnen und Rentner in Höhe von 55 v.H. (für Geburtsjahrgänge ab 1962) bzw. 60 v.H. (für Geburtsjahrgänge bis 1961) berücksichtigt.
( 2 ) Bei laufenden Leistungen an Waisen wird unterstellt, dass
  • die Leistungszahlung nicht aufgrund biometrischer Ereignisse vorzeitig endet,
  • die Leistung für noch nicht volljährige Waisen bis zur Vollendung des 18. Lebensjahres und
  • die Leistung für 18-jährige und ältere Waisen noch für ein weiteres Jahr, maximal bis zum 25. Lebensjahr, gezahlt wird.
( 3 ) Folgende leistungsbestimmende Faktoren, die sich auf die Höhe der zukünftigen Zahlungen unmittelbar auswirken, werden bei der Barwertermittlung nicht berücksichtigt:
  • Bezug der gesetzlichen Altersrente als Teilrente (§ 39 Abs. 1 Versorgungsordnung),
  • Kürzungen der teilweisen oder vollen Erwerbsminderungsrente wegen Hinzuverdienst (§ 39 Absatz 2 der Versorgungsordnung),
  • Ruhen der Rente gemäß § 39 Versorgungsordnung (vgl. Abschnitt II § 2 Abs. 2),
  • Möglichkeit der Umwandlung einer teilweisen Erwerbsminderungsrente in eine volle Erwerbsminderungsrente und umgekehrt,
  • Möglichkeit des Erlöschens einer teilweisen oder vollen Erwerbsminderungsrente wegen Reaktivierung,
  • Möglichkeit des Erlöschens einer Hinterbliebenenrente wegen Wiederverheiratung.
#

§ 6
Bestimmung des maßgeblichen Geburtsjahrgangs

Das maßgebliche Geburtsjahr für die Generationentafeln, die Höhe der Hinterbliebenenrente und die Höhe der versicherungsmathematischen Abschläge ergeben sich aus dem Kalenderjahr der Beendigung der Beteiligung abzüglich des versicherungstechnischen Alters.
#

§ 7
Verwaltungskostenrückstellung

Es wird eine Verwaltungskostenrückstellung in Höhe von 1,0 v.H. des Nettobarwertes des jeweiligen Abrechnungsverbandes in Ansatz gebracht. Der Nettobarwert wird nach den Anlagen 1 und 2 zu diesen Ausführungsbestimmungen berechnet. Der Barwert nach den §§ 15a und 15b Versorgungsordnung ergibt sich, indem der Nettobarwert um die berechnete Verwaltungskostenrückstellung nach Satz 1 erhöht wird.
#

§ 8
Formeln zur Berechnung des Nettobarwerts

Die Formeln zur Berechnung des Nettobarwerts sind in den Anlagen 1 und 2 zu diesen Ausführungsbestimmungen aufgeführt, die ebenfalls Bestandteil der Versorgungsordnung sind.
#

Abschnitt IV:
Zu § 15c Abs. 2 – Ratenzahlung des Nachfinanzierungsbeitrags

( 1 ) Die gleichbleibenden Jahresraten nach § 15c Abs. 2 Versorgungsordnung enthalten sowohl einen Zins- als auch einen Tilgungsanteil. Da der Zins aus der jeweiligen Restschuld des Nachfinanzierungsbeitrags berechnet wird, sinkt der Zinsanteil der Rate mit fortlaufender Ratenzahlung, so dass der Tilgungsanteil aufgrund der gleichbleibenden Ratenhöhe entsprechend steigt. Die so „ersparten“ Zinsen werden also zur Tilgung verwendet, so dass sich die Tilgung um die durch die fortlaufende Tilgung ersparten Zinsen erhöht. Die letzte Rate kann von den übrigen Jahresraten betragsmäßig abweichen.
( 2 ) Die Verzinsung des Nachfinanzierungsbeitrags beginnt mit dem Tag, der auf das Ende der Erklärungsfrist zur Ratenzahlung (§ 15f Abs. 2 Versorgungsordnung) folgt. Die Zinsen auf das geschuldete Restkapital werden jeweils nachschüssig zum 1. des Folgemonats berechnet, der auf die Fälligkeit der Jahresrate folgt.
( 3 ) Die Berechnung der Jahresrate ermittelt sich wie folgt:
N
Anzahl der Jahresraten
i
Zins nach § 15c Abs. 2 und §§ 15b Abs. 3, 15a Abs. 5 Satz 2 Versorgungsordnung, d.h. Maximum aus dem zum Zeitpunkt der Beendigung der Beteiligung geltende durchschnittlichen Marktzinssatz zur Berechnung von Rückstellungen aus den vergangenen sieben Geschäftsjahren mit einer Restlaufzeit von 30 Jahren (§ 253 Abs. 2 HGB) und dem um 66 v.H. erhöhten Höchstrechnungszins nach § 2 Abs. 2 der Deckungsrückstellungsverordnung
E
Einmalbetrag nach § 15c Abs. 1 der Versorgungsordnung
Damit ergibt sich für die jährlichen Raten:
Grafik
#

Abschnitt V:
Zu § 15d – Alternativmodell turnusmäßige Vergleichsberechnung

#

§ 1
Vergleichszeitraum
(§ 15d Abs. 2)

Die oder der ausgeschiedene Beteiligte kann einen maximalen Vergleichszeitraum von 20 Jahren in ganzen Jahren wählen. Der Vergleichszeitraum endet zwingend vorzeitig, wenn alle der oder dem ausgeschiedenen Beteiligten zuzurechnenden Verpflichtungen vor Ablauf des vereinbarten, maximal 20jährigen Zeitraums, erloschen sind.
#

§ 2
Einzubeziehende Verpflichtungen beim Barwertaktuell
(§ 15d Abs. 5)

Auch nach dem Zeitpunkt des Ausscheidens eingetretene Veränderungen in der Höhe der Anwartschaften und Leistungsansprüche sind bei der Ermittlung des Barwertaktuell zu berücksichtigen, soweit sie die der oder dem ausgeschiedenen Beteiligten zuzurechnenden Verpflichtungen betreffen. Das gleiche gilt für Anwartschaften und Leistungsansprüche, die erst nach Beendigung der Beteiligung unverfallbar geworden sind.
#

§ 3
Einzubeziehende Verpflichtungen beim Barwertfortgeschrieben
(§ 15d Abs. 6)

Auch nach dem Zeitpunkt des Ausscheidens eingetretene Veränderungen in der Höhe der Anwartschaften und Leistungsansprüche sind bei der Ermittlung des Barwertfortgeschrieben zu berücksichtigen, soweit sie die dem ausgeschiedenen Beteiligten zuzurechnenden Verpflichtungen betreffen. Das gleiche gilt für Anwartschaften und Leistungsansprüche, die erst nach Beendigung der Beteiligung unverfallbar geworden sind. Abweichend zu Abschnitt III § 5 werden gemäß § 39 Versorgungsordnung ruhende Ansprüche nicht mehr berücksichtigt, soweit diese seit der Beendigung der Beteiligung bis zu letzten turnusmäßigen Vergleichsberechnung ununterbrochen geruht haben.
#

§ 4
Ermittlung des Barwertfortgeschrieben
(§ 15d Abs. 6)

( 1 ) Es wird folgender Barwert ursprünglich  fortgeschrieben:
  • 1. Vergleichsberechnung: Barwert ursprünglich  (d.h. Barwert nach § 15b Abs. 2 und 3 der Versorgungsordnung)
  • 2 . bis letzte Vergleichsberechnung: Barwert aktuell  der Vergleichsberechnung des Vorjahrs.
( 2 ) Die Fortschreibung des ergibt den Barwert fortgeschrieben  der aktuellen Vergleichsberechnung. Die Fortschreibung des Barwert ursprünglich  in Form der Verzinsung mit der Nettoverzinsung, Reduzierung um die laufenden Rentenzahlungen und Überleitungsabgaben sowie Erhöhung um die Überleitungsannahmen erfolgt nach Maßgabe der folgenden Absätze.
( 3 ) Werden Anwartschaften von Versicherten der oder des ausgeschiedenen Beteiligten auf eine andere Kasse übergeleitet, reduziert sich der Barwert fortgeschrieben  um den Überleitungsbarwert, den die Kasse gezahlt hat. Werden Anwartschaften einer oder eines Versicherten der oder des ausgeschiedenen Beteiligten von einer anderen Kasse auf die Kasse übergeleitet, erhöht sich der Barwert fortgeschrieben  um den Überleitungsbarwert, den die Kasse erhalten hat.
( 4 ) Der Vergleichswert gemäß § 15 Abs. 6 wird anhand eines jährlichen iterativen Verfahrens und jährlich fortgeschriebener Werte ermittelt.
Es seien dazu:
t0
Jahr der letzten Vergleichsberechnung
t
Jahr der aktuellen Vergleichsberechnung
F t0 
BW t-1  Barwert ursprünglich  zum Zeitpunkt t0 nach § 15d Abs. 6 der Versorgungsordnung
F
Fortschreibungswert zum Zeitpunkt t
NZ
tatsächlich erzielte Nettoverzinsung im Jahr t im Abrechnungsverband (alle Anlageerträge der Abrechnungsverbände S bzw. P eines Jahres abzüglich aller Aufwendungen des jeweiligen Abrechnungsverbands geteilt durch die Bilanzsumme des jeweiligen Abrechnungsverbands)
R
Rentenzahlung des Jahres t an die dem ausgeschiedenen Beteiligten zuzurechnenden Leistungsempfänger
ÜLAbg
Überleitungsabgabe im Jahr t für zuzurechnende Versicherte des ausgeschiedenen Beteiligten
ÜLAnn
Überleitungsannahme im Jahr t für zuzurechnende Versicherte des ausgeschiedenen Beteiligten
Damit ergibt sich:
Grafik
#

§ 5
Differenzausgleich Kapitaldeckungsgrad

Der Nachfinanzierungsbeitrag bemisst sich nach § 15a Abs. 2 bis 4 Versorgungsordnung auf Grundlage des Kapitaldeckungsgrades zum Stichtag des der Beendigung der Beteiligung vorangegangenen Jahres. Entsprechend § 15d Abs. 3 Satz 5 wird bei der ersten turnusmäßigen Vergleichsberechnung der Kapitaldeckungsgrad des Jahres der Beendigung der Beteiligung angesetzt. Sich daraus ergebende Differenzen werden wie folgt ausgeglichen:
Kap Vor 
Kapitaldeckungsgrad im Jahr vor Beendigung der Beteiligung
Kap Aus 
Kapitaldeckungsgrad im Jahr der Beendigung der Beteiligung
BW
Barwert der Verpflichtungen nach § 15b Abs. 3 der Versorgungsordnung zum Zeitpunkt der Beendigung der Beteiligung
NZ
tatsächlich erzielte Nettoverzinsung im Jahr t im Abrechnungsverband (alle Anlageerträge der Abrechnungsverbände S bzw. P eines Jahres abzüglich aller Aufwendungen des jeweiligen Abrechnungsverbands geteilt durch die Bilanzsumme des jeweiligen Abrechnungsverbands) im Jahr t
t0
Jahr des Ausscheidens
tN
Jahr der ersten turnusmäßigen Neuberechnung
Grafik
Ergibt sich eine positive Differenz, so hat die oder der ausgeschiedene Beteiligte Anspruch auf den Differenzbetrag, andernfalls hat die Kasse Anspruch auf den Differenzbetrag.
#

§ 6
Zahlung bzw. Verrechnung des Differenzbetrags bei Ratenzahlung
(§ 15d Abs. 7 Satz 2)

Im Falle einer Ratenzahlung nach § 15c Absatz 2 der Versorgungsordnung wird der Differenzbetrag der jährlichen Vergleichsberechnung auf die verbleibenden restlichen Raten als Erhöhung bzw. Verringerung der Restforderung unter Beibehaltung der Restlaufzeit umgelegt. Dazu wird die Formel unter Abschnitt IV mit der Maßgabe angewendet, dass N als die Anzahl der noch ausstehenden jährlichen Raten definiert wird und E als der Differenzbetrag. Die so ermittelten zusätzlichen ggf. negativen jährlichen Raten erhöhen bzw. vermindern die bis zu diesem Zeitpunkt geltende Jahresrate.
#

Anlage 1 zum Anhang 1

####

Berechnung des Barwertes

Es sei
x
das versicherungstechnische Alter des Versicherten am Bilanzstichtag,
PA
das angenommene rechnungsmäßige Pensionierungsalter (Alter 65)
AL
die Summe der bis zum Stichtag erworbenen Versorgungspunkte, multipliziert mit 48 = 4 * 12
R x+j 
die Höhe der im Alter x+j maßgebenden Rente bei Invalidität (ohne Berücksichtigung von Zurechnungszeiten) bzw. für x+j=PA die Höhe der Altersrente, jeweils entsprechend dem zum Bilanzstichtag erreichten Stand,
W x+j 
die im Alter x+j maßgebende Witwen-/Witwerrente, wobei W x+j  bestimmt ist durch das Geburtsjahr des Versicherten und die Rente R x+j :
Grafik
R x+j  ergibt sich gemäß der gesetzlichen Regelaltersgrenze und Kürzungsfaktoren wie folgt:
R x+j 
Für Geburtsjahrgänge bis 1952 (Regelaltersgrenze 65):
Renteneintrittsalter 65
=AL * 100 % für x+j ≥ 63
=AL * (100 % - 3,6 %) für x+j = 62
=AL * (100 % - 7,2 %) für x+j = 61
=AL * (100 % - 10,8 %) für x+j ≤ 60
Für Geburtsjahrgänge 1953 bis 1961 (Regelaltersgrenze 66):
Renteneintrittsalter 66
=AL * 100 % für x+j ≥ 64
=AL * (100 % - 3,6 %) für x+j = 63
=AL * (100 % - 7,2 %) für x+j = 62
=AL * (100 % - 10,8 %) für x+j ≤ 61
Für Geburtsjahrgänge ab 1962 (Regelaltersgrenze 67):
Renteneintrittsalter 67
=AL * 100 % für x+j ≥ 65
=AL * (100 % - 3,6 %) für x+j = 64
=AL * (100 % - 7,2 %) für x+j = 63
=AL * (100 % - 10,8 %) für x+j ≤ 62
Anmerkung: Unterhalb des angenommenen Pensionierungsalters (hier: Regelaltersgrenze, vgl. Abschnitt III § 3 Absatz 1) wird eine Erwerbsminderungsrente bewertet. Die Abschläge bei Bezug von Erwerbsminderungsrente beziehen sich nicht auf die Regelaltersgrenze, sondern vielmehr auf zwei Jahre vor Regelaltersgrenze. Beispielsweise kann bei Regelaltersgrenze 65 eine Erwerbsminderungsrente im Alter 63 abschlagsfrei bezogen werden. Im Falle der Regelaltersgrenze 67 bezieht sich der Abschlag im Alter 64 auf das Alter 65 (bei dem bei Erwerbsminderung noch keine Kürzung erfolgt), so dass dieser nur für ein Jahr zu berechnen ist. Die in den folgenden Formeln verwendeten und noch nicht beschriebenen Bezeichnungen, Kommutationswerte und Barwerte werden in der Anlage 2 zum Anhang 1 definiert.
Dann ergibt sich der Barwert BWx für einen am Bilanzstichtag x-jährigen Anwärter aus der Formel:
Grafik
Ansprüche aus eigener Versicherung:
Mit R als Jahresrente an einen Versicherten des Alters x und W_x als der daraus abgeleiteten Anwartschaft auf Hinterbliebenenrente ergibt sich
  • für Empfänger einer Rente wegen Erwerbsminderung
    Grafik
  • für Empfänger einer Altersrente
    Grafik
Ansprüche von Hinterbliebenen:
Mit R als Jahresrente an einen Hinterbliebenen des Alters x ergibt sich
  • für Empfänger einer Witwen-/Witwerrente
    Grafik
  • für Empfänger einer Waisenrente des Alters x ≤ 18
    Grafik
#

Anlage 2 zum Anhang 1

####

Formeln zur Herleitung der Kommutations- und Barwerte

#

1. Bezeichnungen

Für die Bewertung werden als biometrische Grundwerte die Richttafeln 2018G mit Modifikationen und mit den nachfolgenden Bezeichnungen verwendet. Angegeben sind hierbei jeweils die Bezeichnungen für Männer, die entsprechenden Bezeichnungen für Frauen ergeben sich durch Ersatz von x durch y und umgekehrt.
Bei den Sterbewahrscheinlichkeiten ist zu beachten, dass die Abgrenzung zwischen dem Gesamtbestand und dem Altersrentnerbestand grundsätzlich durch das Pensionierungsalter z gegeben ist.
Zur rein technischen Berücksichtigung der laufenden Rentendynamik von 1,0 v.H. zum 1.7. werden die nachfolgenden Formeln unter Ansatz eines „Ersatzzinses“ i‘ (wobei i der Rechnungszins ist)
Grafik
für die Zeit während des Rentenbezugs angewendet.
Bei unterjähriger Zahlungsweise gilt dieser Ansatz unter der Bedingung, dass die Anpassung (anteilig) ebenfalls unterjährig erfolgt.
x
Alter in Jahren
Eine Person gilt als x-jährig an dem Tag, an dem sie das x-te Lebensjahr vollendet. Für die Anwendung der Richttafeln können die für das Alter x angegebenen Werte für alle Personen angewendet werden, die innerhalb des dem Bewertungsstichtag folgenden oder diesem vorausgehenden halben Jahres das x-te Lebensjahr vollenden (versicherungsmathematische Altersbestimmung).
qaa
Wahrscheinlichkeit für einen x-jährigen Aktiven, innerhalb des Zeitraumes [x,x+1[ als Aktiver zu versterben (Aktivensterbewahrscheinlichkeit)
i
Wahrscheinlichkeit für einen x-jährigen Aktiven, innerhalb des Zeitraumes [x,x+1[ invalide zu werden (Invalidisierungswahrscheinlichkeit)
qi
Wahrscheinlichkeit für einen x-jährigen Invaliden, innerhalb des Zeitraumes [x,x+1[ zu versterben (Invalidensterbewahrscheinlichkeit)
qg
Wahrscheinlichkeit für ein x-jähriges Mitglied des Gesamtbestandes, innerhalb des Zeitraumes [x,x+1[ zu sterben (Gesamtsterbewahrscheinlichkeit)
qr
Wahrscheinlichkeit für einen x-jährigen Altersrentner, innerhalb des Zeitraumes [x,x+1[ zu versterben (Rentnersterbewahrscheinlichkeit).
qw
Wahrscheinlichkeit für einen x-jährigen Witwer, innerhalb des Zeitraumes [x,x+1[ zu versterben (Witwersterbewahrscheinlichkeit)
h
Wahrscheinlichkeit für einen Mann, bei Tod im Zeitraum [x,x+1[ verheiratet zu sein (Verheiratungswahrscheinlichkeit im Tode)
y(x)
Alter der Witwe am Beginn des Todesjahres des Mannes, bei Tod des Mannes im Zeitraum [x,x+1[
z
Schlussalter für Aktive/Invalide
ω
Schlussalter für Altersrentner/Witwer, hier ω = 115
i
Rechnungszins
V
Diskontierungsfaktor
1a
Anzahl der Aktiven des Alters x (20 < x < 75)
1a x+1  = 1a . (1 - qaa - i); 1a 20  = 100.000
1i
Anzahl der Invaliden des Alters x (20 < x < 75)
1i x+1  = 1i . (1 - qi); 1i 20  = 100.000
1g
Anzahl der Mitglieder des Gesamtbestandes des Alters x (20 < x < 64)
1g x+1  = 1g . (1 - qg); 1g 20  = 100.000
1r
Anzahl der Altersrentner des Alters x (z < x < 115)
1r x+1  = 1r . (1 - qr); 1r 65  = 1g 65 
1w
Anzahl der Witwer des Alters x (20 < x < 115)
1w x+1  = 1w . (1 - qw); 1w 20  = 100.000
Für die Berücksichtigung der unterjährigen Zahlungsweise wird bei t Zahlungen jährlich ein altersunabhängiges Abzugsglied k(t) verwendet. Bei unterstellter Gleichverteilung der Todesfälle innerhalb eines Jahres und Verzicht auf unterjährige Zinseszinsen ergibt sich hierfür der Ansatz
Grafik
Zwischen den Größen herrscht die bekannte (und hier modifizierte) Beziehung
Grafik
#

2. Kommutationswerte

Die Kommutationswerte ergeben sich aus den Grundwerten wie folgt:
Grafik
#

3. Barwerte

#

3.1 Rentenbarwerte

#

3.1.1 Aktivenrente

Barwert einer längstens z-x Jahre lang vorschüssig an einen x-jährigen Aktiven zu zahlenden Aktivenrente vom Jahresbetrag 1 bei monatlicher Zahlungsweise
mit

Grafik
#

3.1.2 Abgekürzte Invalidenrente

Barwert einer längstens z-x Jahre lang an einen x-jährigen Invaliden vorschüssig zahlbaren Invalidenrente vom Jahresbetrag 1 bei monatlicher Zahlungsweise
mit

Grafik
#

3.1.3 Altersrente

Barwert einer lebenslänglich an einen x-jährigen Altersrentner vorschüssig zahlbaren Altersrente vom Jahresbetrag 1 bei monatlicher Zahlungsweise
mit

Grafik
#

3.1.4 Aufgeschobene Altersrente

Barwert einer auf das Alter z aufgeschobenen lebenslänglich vorschüssig zahlbaren Altersrente vom Jahresbetrag 1
für x-jährige Aktive
für x-jährige Invalide
bei jährlicher
Zahlungsweise
Grafik
Grafik
bei monatlicher
Zahlungsweise
#

3.1.5 Lebenslängliche Invalidenrente

Barwert einer lebenslänglich an einen x-jährigen Invaliden lebenslänglich vorschüssig zahlbaren Invalidenrente vom Jahresbetrag 1 bei monatlicher Zahlungsweise
Grafik
#

3.1.6 Witwerrente

Barwert einer lebenslänglich an einen x-jährigen Witwer lebenslänglich vorschüssig zahlbaren Witwerrente vom Jahresbetrag 1 bei monatlicher Zahlungsweise
mit

Grafik
#

3.2 Anwartschaftsbarwerte für Leistungsempfänger

#

3.2.1 Anwartschaftsbarwerte auf Witwenrente für Altersrentner

Barwert einer Anwartschaft eines x-jährigen Altersrentners auf eine lebenslänglich vorschüssig zahlbare Witwenrente vom Jahresbetrag 1 (kollektive Methode)
Grafik
wobei
Grafik
#

3.2.2 Anwartschaftsbarwerte auf Witwenrente für Invalidenrentner

Barwert einer Anwartschaft eines x-jährigen Invaliden auf eine lebenslänglich vorschüssig zahlbare Witwenrente vom Jahresbetrag 1
Grafik
#

3.3 Anwartschaftsbarwerte für Aktive

#

3.3.1 Anwartschaft eines Aktiven auf lebenslängliche Invalidenrente

Barwert einer Anwartschaft eines x-jährigen Aktiven auf eine lebenslänglich vorschüssig zahlbare Invalidenrente vom Jahresbetrag 1 (gleichbleibende Anwartschaft)
Grafik
wobei
Grafik
#

3.3.2 Anwartschaft eines Aktiven auf Invaliden- und Altersrente

Barwert einer Anwartschaft eines x-jährigen Aktiven auf eine monatlich vorschüssig zahlbare lebenslängliche Invalidenrente und Altersrente - letztere ab Alter z - (gleichbleibende Anwartschaft vom Jahresbetrag 1):
Grafik
#

3.3.3 Anwartschaft eines Aktiven auf Altersrente (unabhängig davon, ob Invalidität eintritt oder nicht)

Barwert einer Anwartschaft eines x-jährigen Aktiven auf monatlich vorschüssig zahlbare Altersrente, unabhängig davon, ob das Beginnalter z der Altersrente als Aktiver oder Invalider erreicht wird (gleichbleibende Anwartschaft vom Jahresbetrag 1):
Grafik
#

3.3.4 Anwartschaft eines Aktiven auf Witwenrente

Barwert einer Anwartschaft eines x-jährigen Aktiven auf eine lebenslängliche Witwenrente nach Tod als Aktiver oder Altersrentner ohne vorhergehende Invalidität (gleichbleibende Anwartschaft vom Jahresbetrag 1):
Grafik
Barwert einer Anwartschaft eines x-jährigen Aktiven auf eine lebenslängliche Witwenrente nach Tod als Invalider (gleichbleibende Anwartschaft vom Jahresbetrag 1):
Grafik
Barwert einer Anwartschaft eines x-jährigen Aktiven auf eine lebenslängliche Witwenrente (gleichbleibende Anwartschaft vom Jahresbetrag 1):
Grafik
#

Anhang 2

#

Ausführungsbestimmung zu § 63 Absatz 1 der Versorgungsordnung

Aufgrund des § 8 Absatz 2 Satz 1 Buchstabe b der Rechtsverordnung über die zusätzliche Alters- und Hinterbliebenenversorgung kirchlicher Angestellter, Arbeiter und Arbeiterinnen vom 26. August 2002 (Kirchl. Amtsbl. S. 196), die zuletzt durch Rechtsverordnung vom 9. Januar 2017 (Kirchl. Amtsbl. S. 5) geändert worden ist, hat der Verwaltungsrat am 6. November 2019 die folgenden Ausführungsbestimmungen beschlossen:
Inhaltsverzeichnis:
1.
Vorbemerkungen
2.
Erläuterung der Bestimmung
2.1
Bestimmung § 63 Abs. 1
2.2
Bestimmung § 55 Abs. 1
2.3
Bestimmung § 55 Abs. 2
2.4
Bestimmung § 56 Abs. 1
2.5
Bestimmung § 56 Abs. 2 - 4
2.6
Bestimmung § 53
3.
Festlegung der Höhe des Sanierungsgeldes
Anlagen
1.
Schreiben des Bevollmächtigten des Rates der EKD an das BMF vom 5. August 2008: Steuerliche Behandlung der von den KZVK erhobenen Sanierungsgeldern
2.
Schreiben des BMF an die EKD sowie das Kommissariat der Deutschen Bischöfe Katholisches Büro in Berlin vom 7. November 2008: Lohnsteuerliche Behandlung der Zuwendung und Beiträge kirchlicher Arbeitgeber an die Kirchlichen Zusatzversorgungskassen (KZVK)
#

Vorbemerkungen:

Die Zusatzversorgungskasse hat zum 01.01.2002 sowohl ihre Versorgungszusage von dem System einer Gesamtversorgung (geschlossen zum 31.12.2000, unter Anwendung des Übergangsrechts bis zum 31.12.2001) auf das Punktemodell als auch das Finanzierungssystem von einer Umlagefinanzierung auf eine Kapitaldeckung umgestellt.
Die Umstellung des Versorgungssystems hat die Kasse erstmals in die Lage versetzt, die auf ihr lastenden gesamten Verpflichtungen, bestehend aus Anwartschaften und Ansprüchen, zu ermitteln. Die gesamten Verpflichtungen wurden über §§ 30 ff. ATV-K (§§ 69 ff.) als Startgutschriften oder bereits zum 31.12.2001 bestehende Rentenzahlungen entsprechend der Grundlagen des ATV-K als Rente oder als Versorgungspunkte in das Punktemodell transferiert.
Das sich aus den Verhandlungen zum Altersvorsorgeplan (AVP) - vgl. Ziffer 4.4 des AVP und aufgenommen in § 18 ATV-K - ergebende Ziel einer Kapitaldeckung, haben die Kirchlichen Zusatzversorgungskassen zum 01.01.2002 durch die Umstellung der Finanzierung auf das Trennmodell gemäß § 18 Abs. 2 und 3 ATV-K (vgl. auch § 19 Abs. 1 Satz 1 Nr. 3 Satz 4 EStG sowie die Schreiben des Bevollmächtigten des Rates an das BMF vom 5. August 2008 und des BMF vom 7. November 2008) vollzogen. Dieses Modell berechtigte die Kasse die im Rahmen des AVP definierten nicht steuerbaren Sanierungsgelder, deren Einführung ursprünglich nicht zur Minderung steuerbarer Einnahmen führen sollte, als Finanzierungsinstrument einzuführen. Die Nutzung des „Finanzierungsinstruments der nicht steuerbaren Sanierungsgelder“ wurde erst 2005 gerichtlich entschieden - vgl. BFH-Urteil vom 14. September 2005, Az.: VI R 32/04 - und im Anschluss in 2008 in § 19 EStG aufgenommen. Neben dieser rechtlichen Grundlage wurde über § 1 der Rechtsverordnung über die zusätzliche Alters- und Hinterbliebenenversorgung kirchlicher Angestellter, Arbeiter- und Arbeiterinnen vom 26. August 2002 die Ermächtigungsgrundlage für die Erhebung der Sanierungsgelder zur Finanzierung der Besitzstände geschaffen.
Die sich aus den Grundlagen der Tarifverhandlungen zum AVP Ziffer 1.4 und 4.4 und im Ergebnis des ATV-K ergebende Rechtsprechung zum Sanierungsgeld scheint dem Ziel der Tarifvertragsparteien der Erreichung einer Kapitaldeckung zuwider zu laufen und diesen im AVP verankerten Grundgedanken völlig unberücksichtigt zu lassen.
#

c Erläuterung der Bestimmung:

Satzungsbestimmung –
Ermittlung der Höhe des Sanierungsgeldes:
2.1
Wortlaut
„§ 63 Sanierungsgeld
(1)
Die Kasse kann ein Sanierungsgeld im Sinne des § 19 Abs. 1 Nr. 3 Satz 4 erster Halbsatz EStG, welches nicht steuerbar ist (BMF Schreiben vom 7. November 2008), zur Deckung eines Fehlbetrages im Abrechnungsverband S erheben, bis ein dauerhafter Kapitaldeckungsgrad von 100 v.H. (§ 59 Abs. 2 Buchst. b) erreicht ist.
Die diesem Kapitaldeckungsgrad zugrunde liegenden Rechnungsgrundlagen für die Ermittlung der Deckungsrückstellung ergeben sich aus den in § 34 Abs. 3 verwendeten Zinsannahmen mit 3,25 v.H. in der Anwartschaftsphase, 5,25 v.H. in der Rentenphase und 1 v.H. Dynamisierung. Für die Biometrischen Annahmen sind die Heubeck-Richttafeln 1998 sowie ergänzend 2018 G modifiziert (vgl. Ausführungsbestimmungen zu §§ 15a und 15b sowie zu § 63 Abs. 1 im Anhang) anzuwenden.“
2.2
Gemäß § 55 Abs. 1 werden drei getrennte Abrechnungsverbände geführt:
a)
Anwartschaften und Ansprüche, die auf nach dem 31.12.2001 entrichteten Pflichtbeiträgen beruhen Abrechnungsverband P (AV P),
b)
freiwillige Versicherung ab 01.01.2002 Abrechnungsverband F (AV F) und
c)
Anwartschaften und Ansprüche bis 31.12.2001 und alle übrigen Abrechnungsverband S (AV S).
2.3
Gemäß § 55 Abs. 2 werden für jeden Abrechnungsverband Ein- und Ausgaben sowie Kapitalerträge gesondert (vgl. auch Trennmodell § 19 Abs. 1 Nr. 3 Satz 4, 2. Hs. EStG; Teil B des Entwurfs Stand: 13.11.2007 RN 167d (2017 RN 299) sowie BMF-Schreiben vom 7. November 2008 S. 2 1. Absatz) verwaltet.
2.4
§ 56 Abs. 1 bestimmt, dass für alle Verbände gemäß § 55 Abs. 1 VO eine eigene Deckungsrückstellung (Bilanzposition Passiva B. I.) in Höhe des versicherungsmathematischen Barwerts aller am Bilanzstichtag bestehenden Anwartschaften und Ansprüche in die Bilanz eingestellt wird.
2.5
§ 56 Abs. 2 - 4 definiert die Mindestgröße der für die Abrechnungsverbände S und P zu ermittelnden Deckungsrückstellungen unter Berücksichtigung der gemäß Buchst. a bis d beschriebenen Rechnungsgrundlagen. Des Weiteren wird erstmals die Zielgröße für die Erreichung der Zusammenlegung der beiden Verbände, nämlich die Erreichung des Kapitaldeckungsgrades (zur Ermittlung vgl. Ausführungsbestimmungen zu §§ 15a und 15b) von 100 v.H., in der Satzung verankert. Weitere Einzelheiten sind im versicherungstechnischen Geschäftsplan niedergelegt:
a)
Biometrie
Als biometrische Rechnungsgrundlagen werden für die Bilanzposition Passiva B. I. (tarifvertraglich ermittelte Brutto-Deckungsrückstellung) die Richttafeln 1998 von Klaus Heubeck verwendet. Das Schlussalter z beträgt 65 Jahre (Regelaltersgrenze gemäß SGB VI zur Zeit der Entwicklung der Altersfaktoren im Jahr 2001)
b)
Rechnungszins
Der Rechnungszins beträgt 3,25 v.H. für die Zeit bis zum Eintritt des Versorgungsfalles und 5,25 v.H. für die Zeit ab Eintritt des Versorgungsfalles. Der Zinssatz von 5,25 v.H. berücksichtigt bereits die ab Eintritt des Versorgungsfalles vorgesehene Dynamisierung der Renten um 1 v.H. jährlich. Demnach müsste sich ab Eintritt des Versorgungsfalles eine erforderliche Verzinsung oder Mindestverzinsung von insgesamt 6,3 v.H. ergeben.
c)
Gesonderte Deckungsrückstellung Biometrie und Zins
(Passiva B. II.)
Die Projektivität wird als Teil einer gesondert ausgewiesenen Rückstellung für Biometrie und Zins berücksichtigt.
Die Teil-Rückstellung für Biometrie ist die positive Differenz zwischen der Brutto-Deckungsrückstellung 2. Ordnung, bezogen auf die gesetzliche Regelaltersgrenze (nach dem ab 01.01.2008 geltenden Recht), und der tarifvertraglich ermittelten Brutto-Deckungsrückstellung (Rentenbeginn 65). Die Rechnungsgrundlagen 2. Ordnung ergeben sich durch Anpassung der Grundwahrscheinlichkeiten der Richttafeln 2005 G bis zum 31.12.2018 und der Richttafeln 2018 G ab dem 01.01.2019 mittels einzelner Faktoren. Bei der Ermittlung der Brutto-Deckungsrückstellung 2. Ordnung sind vorhandene passivseitige Reserven (z.B. beitragsfreie Versicherungen ohne erfüllte Wartezeit, Versicherungen mit erfüllter Wartezeit ab Alter 69) in angemessener Weise rückstellungsmindernd zu berücksichtigen. Dagegen sind Optionen der Versicherten (z.B. die abschlagsfreie Rente für besonders langjährig Versicherte), welche bei der Kasse zu einem höheren Aufwand führen, in angemessener Weise rückstellungserhöhend zu berücksichtigen.
Die in § 56 Abs. 2 und 3 definierten Kapitaldeckungsgrade beziehen sich auf die tarifvertragliche Deckungsrückstellung zzgl. der Teil- ückstellung für Biometrie. Dies geschieht vor dem Hintergrund, dass die Heubeck-Richttafeln 1998 nach den aktuellen Erkenntnissen nicht mehr zu einer ausreichenden Deckungsrückstellung führen.
d)
Zins
Der technische Geschäftsplan sieht die Bildung einer zusätzlichen Teilrückstellung „Zins“ vor. Damit soll das über den Altersvorsorgeplan verankerte hohe Verzinsungsrisiko der Passivseite, welches im Höchstfall eine Verzinsung von 6,3 v.H. erreichen kann, gemindert werden.
Diese Teilrückstellung wird im Abrechnungsverband S nicht gebildet, weil sich bereits ein bilanzieller Fehlbetrag unter Zugrundelegung der im Altersvorsorgeplan berücksichtigten „tarifvertraglichen Verzinsung“ für die Ermittlung der Versorgungspunkte (3,25/5,25/0) ergibt.
e)
Weitere Erläuterungen
Aufgrund der von den Tarifvertragsparteien im Rahmen des Punktemodells verankerten Rechnungsgrundlagen (vgl. § 34 Abs. 3 für den Rechnungszins und im AVP Ziffer 2.3 Sterbetafel Heubeck-Richttafeln 1998) wurde die Altersfaktorentabelle erstellt. Sowohl der Abrechnungsverband S als auch P werden nach diesen Rechnungsgrundlagen bilanziert. Neben dieser Bilanzierung ermittelt der Verantwortliche Aktuar eine gesonderte Rückstellung für Biometrie (bis 2016 und ab 2017 wird hier auch der Zins in dieser Rückstellung berücksichtigt), die unter der Bilanzposition Passiva B. II. für beide Abrechnungsverbände gesondert ausgewiesen und bilanziert wird. Dies auch um die tariflichen und die aktuariellen Erfordernisse gesondert zu erfassen und aufzuzeigen.
Für das Jahr 2018 ergibt sich nach den Berechnungen des Aktuars im Abrechnungsverband S ein Zinserfordernis von 5,2 v.H. und im Abrechnungsverband P ein Zinserfordernis von 3,8 v.H., jeweils mit steigender Tendenz.
Unter Berücksichtigung der im Altersvorsorgeplan 2001 hinterlegten Rechnungsgrundlagen zzgl. der Biometrie gemäß Richttafeln 2005 G (modifiziert), hat die Kasse zum 31.12.2018 einen Kapitaldeckungsgrad (für AV S und AV P) von insgesamt ca. 93,9 v.H. erreicht. Im Einzelnen betrachtet liegt der Abrechnungsverband P bei 101 v.H. und der Abrechnungsverband S bei 87 v.H. Ziel ist es, im Abrechnungsverband S die Ausfinanzierung nach den Rechnungsgrundlagen des Altersvorsorgeplans incl. der biometrischen Erfordernisse, die der Aktuar ermittelt, zu erreichen, um dann die Zusammenlegung der Abrechnungsverbände vorzunehmen. Dies ist bereits seit der Systemumstellung das definierte Ziel. Für die Erreichung dieses Ziels wird deshalb für die Ermittlung der Höhe der Sanierungsgelder der jährlich festgestellte Bilanzfehlbetrag, unter Berücksichtigung der jeweils festzulegenden oder festgelegten Dauer (auch bereits mit einem Beschluss der Landessynode) der Ausfinanzierung, zu Grunde gelegt. Durch die Umstellung auf die RT 2018 G hätten sich diese Werte zum 31.12.2018 um ca. 2,2 v.H. erhöht.
Vor dem Hintergrund der seit 2001 gesunkenen Rendite - von über 6 v.H. auf heute unter 3 v.H. - am Kapitalmarkt, ist das Ziel einer Ausfinanzierung für den Abrechnungsverband S von 100 v.H. mit dieser Änderung auch in der Versorgungsordnung verankert.
2.6
Gemäß § 53 Abs. 3 wird das jeweilige Vermögen (§ 55 Abs. 1) entsprechend der Bewertungsvorschriften des HGB bewertet. Die Kasse hat jährlich einen Jahresabschluss mit einer Gewinn- und Verlustrechnung sowie eine Bilanz aufzustellen, in der dann die Deckungsrückstellung dem Vermögen gegenübergestellt wird.
Ergibt sich aus dieser Bilanz oder Teilbilanz ein Fehlbetrag – betrachtet wurde hier nur § 55 Abs. 1 Buchst. c (Abrechnungsverband S) – kann die Kasse gemäß § 59 Abs. 2 Buchst. b in Verbindung mit § 63 Abs. 1 ein Sanierungsgeld erheben, bis der Kapitaldeckungsgrad von 100 v.H. (vgl. § 56 Abs. 3) erreicht oder wieder erreicht ist.
#

Anhang 3

#

Ausführungsbestimmung zu § 56 der Versorgungsordnung

Aufgrund des § 8 Absatz 2 Satz 1 Buchstabe b der Rechtsverordnung über die zusätzliche Alters- und Hinterbliebenenversorgung kirchlicher Angestellter, Arbeiter und Arbeiterinnen vom 26. August 2002 (Kirchl. Amtsbl. S. 196), die zuletzt durch Rechtsverordnung vom 9. Januar 2017 (Kirchl. Amtsbl. S. 5) geändert worden ist, hat der Verwaltungsrat am 6. November 2019 die folgenden Ausführungsbestimmungen beschlossen:
Inhaltsverzeichnis:
1.
Vorbemerkungen
3.
Erläuterung der Bestimmung
2.1
Bestimmung § 53
2.2
Bestimmung § 55 Abs. 1
2.3
Bestimmung § 55 Abs. 2
2.4
Bestimmung § 56 Abs. 1
2.5
Bestimmung § 56 Abs. 2 - 4
2.6
Weitere Erläuterungen zum Kapitalabdeckungsgrad
###

c) Vorbemerkungen:

Die Zusatzversorgungskasse hat zum 01.01.2002 das Finanzierungssystem von einer Umlagefinanzierung auf eine Kapitaldeckung umgestellt.
Mit der Umstellung wurden drei Abrechnungsverbände (AV), von denen hier nur zwei, der AV S und AV P (vgl. § 55 Abs. 1 Buchst. a und c), betrachtet werden, gegründet.
Aufgrund der andauernden Niedrigzinsphase hat der Verwaltungsrat in seiner Sitzung am 07.02.2017 den Grundsatz-Beschluss gefasst, einen atmenden Kapitaldeckungsgrad einzuführen.
#

d) Erläuterung der Bestimmung:

2.1
Gemäß § 53 Abs. 3 VO wird das jeweilige Vermögen (§ 55 Abs. 1) entsprechend der Bewertungsvorschriften des HGB bewertet. Die Kasse hat jährlich einen Jahresabschluss mit einer Gewinn- und Verlustrechnung sowie eine Bilanz aufzustellen, in der dann die Deckungsrückstellung dem Vermögen gegenübergestellt wird. Daraus ergibt sich der Kapitaldeckungsgrad (vgl. § 56 Abs. 2 und 3).
2.2
Gemäß § 55 Abs. 1 werden drei getrennte Abrechnungsverbände geführt:
a)
Anwartschaften und Ansprüche, die auf nach dem 31.12.2001 entrichteten Pflichtbeiträgen beruhen Abrechnungsverband P (AV P),
b)
freiwillige Versicherung ab 01.01.2002 Abrechnungsverband F (AV F) und
c)
Anwartschaften und Ansprüche bis 31.12.2001 und alle übrigen Abrechnungsverband S (AV S).
2.3
Gemäß § 55 Abs. 2 werden für jeden Abrechnungsverband Ein- und Ausgaben sowie Kapitalerträge gesondert verwaltet.
2.4
§ 56 Abs. 1 bestimmt, dass für alle Verbände gemäß § 55 Abs. 1 eine eigene Deckungsrückstellung (Bilanzposition Passiva B.) in Höhe des versicherungsmathematischen Barwerts aller am Bilanzstichtag bestehenden Anwartschaften und Ansprüche in die Bilanz eingestellt wird.
2.5
§ 56 Abs. 2 bis 4 definiert die Mindestgröße der jeweiligen für die Abrechnungsverbände S und P zu ermittelnden Deckungsrückstellung unter Berücksichtigung der gemäß Buchst. a bis d beschriebenen Rechnungsgrundlagen.
Des Weiteren wird erstmals die Zielgröße für die Erreichung der Zusammenlegung der beiden Verbände, nämlich die Erreichung des Kapitaldeckungsgrades (vgl. Ausführungsbestimmungen zu § 15a und § 15b) von 100 v.H., in der Satzung verankert. Weitere Einzelheiten sind im versicherungstechnischen Geschäftsplan niedergelegt.
a)
Biometrie
Als biometrische Rechnungsgrundlagen werden für die Bilanzposition Passiva B. I. (tarifvertraglich ermittelte Brutto-Deckungsrückstellung) die Richttafeln 1998 von Klaus Heubeck verwendet. Das Schlussalter z beträgt 65 Jahre (Regelaltersgrenze gemäß SGB VI zur Zeit der Entwicklung der Altersfaktoren im Jahr 2001).
b)
Rechnungszins
Der Rechnungszins beträgt 3,25 v.H. für die Zeit bis zum Eintritt des Versorgungsfalles und 5,25 v.H. für die Zeit ab Eintritt des Versorgungsfalles. Der Zinssatz von 5,25 v.H. berücksichtigt bereits die ab Eintritt des Versorgungsfalles vorgesehene Dynamisierung der Renten um 1 v.H. jährlich. Demnach müsste sich ab Eintritt des Versorgungsfalles eine erforderliche Verzinsung oder Mindestverzinsung von insgesamt 6,3 v.H. ergeben.
c)
Gesonderte Deckungsrückstellung Biometrie und Zins
(Passiva B. II.)
Die Projektivität wird als Teil einer gesondert ausgewiesenen Rückstellung für Biometrie und Zins berücksichtigt.
Die Teil-Rückstellung für Biometrie ist die positive Differenz zwischen der Brutto-Deckungsrückstellung 2. Ordnung, bezogen auf die gesetzliche Regelaltersgrenze (nach dem ab 01.01.2008 geltenden Recht), und der tarifvertraglich ermittelten Brutto-Deckungsrückstellung (Rentenbeginn 65). Die Rechnungsgrundlagen 2. Ordnung ergeben sich durch Anpassung der Grundwahrscheinlichkeiten der Richttafeln 2005 G bis zum 31.12.2018 und der Richttafeln 2018 G ab dem 01.01.2019 mittels einzelner Faktoren. Bei der Ermittlung der Brutto-Deckungsrückstellung 2. Ordnung sind vorhandene passivseitige Reserven (z.B. beitragsfreie Versicherungen ohne erfüllte Wartezeit, Versicherungen mit erfüllter Wartezeit ab Alter 69) in angemessener Weise rückstellungsmindernd zu berücksichtigen. Dagegen sind Optionen der Versicherten (z.B. die abschlagsfreie Rente für besonders langjährig Versicherte), welche bei der Kasse zu einem höheren Aufwand führen, in angemessener Weise rückstellungserhöhend zu berücksichtigen.
Die in § 56 Abs. 2 und 3 definierten Kapitaldeckungsgrade beziehen sich auf die tarifvertragliche Deckungsrückstellung zzgl. der Teilrückstellung für Biometrie. Dies geschieht vor dem Hintergrund, dass die Heubeck-Richttafeln 1998 nach den aktuellen Erkenntnissen nicht mehr zu einer ausreichenden Deckungsrückstellung führen, die für die dauernde Erfüllbarkeit der Leistungen erforderlich ist.
d)
Der technische Geschäftsplan sieht die allgemeine Bildung einer Teilrückstellung zur Stärkung der Rechnungsgrundlage Zins vor. Für den Abrechnungsverband P ist die Mindestgröße neben den Ausführungen gemäß Buchst. a bis c, eine Zielgröße mit einem Rechnungszins von 3,25/3,25/0 definiert. Nach Erreichung dieser Zielgröße ergibt sich der festgelegte Korridor von 80 v.H. – 100 v.H. in Bezug auf die Zielgröße, da die Mindestgröße ca. 80 v. H. der Zielgröße entspricht. Damit soll das über den Altersvorsorgeplan verankerte hohe Verzinsungsrisiko der Passivseite, welches im Höchstfall eine Verzinsung von 6,3 v.H. erreichen kann, gemindert werden.
Diese Teilrückstellung wird im Abrechnungsverband S derzeit nicht gebildet, da bereits ein bilanzieller Fehlbetrag unter Berücksichtigung der tarifvertraglichen Verzinsung besteht.
2.6
Weitere Erläuterungen zum Kapitaldeckungsgrad
Aufgrund der von den Tarifvertragsparteien im Rahmen des Punktemodells verankerten Rechnungsgrundlagen (vgl. § 34 Abs. 3 für den Rechnungszins und im Altersvorsorgeplan Ziffer 2.3 Sterbetafel Heubeck Richttafeln 1998) wurde die Altersfaktorentabelle erstellt.
Sowohl der Abrechnungsverband S als auch P werden nach diesen Rechnungsgrundlagen bilanziert. Neben dieser Bilanzierung ermittelt der Verantwortliche Aktuar eine gesonderte Rückstellung für Biometrie, die unter der Bilanzposition Passiva B. II. für beide Abrechnungsverbände gesondert ausgewiesen und bilanziert wird. Dies auch um die tariflichen und die aktuariellen Erfordernisse gesondert zu erfassen und aufzuzeigen.
Aus diesen im Altersvorsorgeplan hinterlegten Rechnungsgrundlagen ergibt sich auf der Passivseite eine Verzinsung von maximal 6,3 v.H. Aktuell (2018) ergibt sich nach den Feststellungen des Aktuars für die Kasse im Abrechnungsverband S ein Zinserfordernis von 5,2 v.H. und im Abrechnungsverband P ein Zinserfordernis von 3,8 v.H., jeweils mit steigender Tendenz.
Unter Berücksichtigung der im Altersvorsorgeplan 2001 hinterlegten Rechnungsgrundlagen gemäß § 34 Abs. 3 und der Heubeck-Richttafeln 2005 G hat die Kasse in 2018 einen Kapitaldeckungsgrad (für die Abrechnungsverbände S und P) von insgesamt ca. 93,9 v.H. erreicht. Im Einzelnen betrachtet liegt der Abrechnungsverband P bei 101 v.H. und der Abrechnungsverband S bei 87 v.H. Ziel ist es, im Abrechnungsverband S die Ausfinanzierung nach den Rechnungsgrundlagen des Altersvorsorgeplans incl. der biometrischen Erfordernisse, die der Aktuar ermittelt, zu erreichen, um dann die Zusammenlegung der Abrechnungsverbände vorzunehmen. Dies ist bereits seit der Systemumstellung das definierte Ziel. Für die Erreichung dieses Ziels wird deshalb für die Ermittlung der Höhe der Sanierungsgelder der jährlich festgestellte Bilanzfehlbetrag, unter Berücksichtigung der jeweils festzulegenden oder festgelegten Dauer (auch bereits mit einem Beschluss der Landessynode) der Ausfinanzierung, zu Grunde gelegt. Durch die Umstellung auf die Richttafeln 2018 G hätten sich diese Werte zum 31.12.2018 um ca. 2,2 v.H. erhöht.
Vor dem Hintergrund der seit 2001 gesunkenen Rendite - von über 6 v.H. auf heute unter 3 v.H. - am Kapitalmarkt, ist das Ziel einer Ausfinanzierung für den Abrechnungsverband S von 100 v.H. mit dieser Änderung auch in der Versorgungsordnung verankert.

#
1 ↑ Red. Anm.: Inhaltsverzeichnis ist nicht Bestandteil der amtlichen Vorschrift.
wbv Kommunikation: Kirchenverwaltung LAW|PUBLISHER